Application and Preparation of DL-Tartaric Acid
General description
The DL-Tartaric acid (DL-TA), with the CAS No: 133-37-9, is also known as DL-Dihydroxysuccinic acid, DL-Tartaric acid anhydrous, Tartaric Acid, racemic acid, 2,3-Dihydroxybutanedioic acid, and Natural tartaric acid. This chemical’s molecular formula is C4H6O6 and molecular weight is 150.09. Tartaric acid (TA) is an organic carboxylic acid, mainly exists in the form of free state or acid salt, and its chemical name is 3-dihydroxysuccinic acid. It is easily soluble in water and ethanol, slightly soluble in ether [1]. The structure is shown in Figure 1.

Figure 1. The molecular formula of Tartaric acid
Tartaric acid is a tetraric acid that is butanedioic acid substituted by hydroxy groups at positions 2 and 3. It has a role as a human xenobiotic metabolite and a plant metabolite. It is a conjugate acid of a 3-carboxy-2,3-dihydroxypropanoate. There are two identical chiral carbon atoms in the tartaric acid molecule, so it has three optical isomers, namely levotartaric acid (L-TA), dextrotartaric acid (D-TA) and mesotartaric acid (MESO-TA). Among them, L-TA and D-TA are a pair of enantiomers, and the equal mixture of the two is called racemic tartaric acid (DL-TA), while MESO-TA is a diastereomeric compound [2].
Application of DL-Tartaric Acid [3-5]
Due to its excellent physical and chemical properties, tartaric acid is widely used, mainly including food industry, pharmaceutical industry, chemical industry, organic synthesis, mirror industry, textile industry and other industries. In the food industry, tartaric acid is often used in combination with malic acid and citric acid to adjust the acidity of canned food, candy, beverages, jams and other foods. Because of its unique flavor, tartaric acid is currently the only sour agent on the market that is allowed to be added to wine. At the same time, compared with other edible organic acids, tartaric acid has some unique properties, and can be used as flavor synergist, complexing agent, leavening agent and antioxidant synergist under certain conditions. In addition, tartaric acid can react with citric acid and ferrous oxide to present a bright bright green color and be used as food coloring. It can also be mixed with plant extracts and other organic acids in a certain proportion to make slimming tea. In the pharmaceutical industry, tartaric acid is not only a high-efficiency resolving agent, but can also be used to prepare a variety of drugs, such as: zolpidem tartrate for the treatment of severe sleep disorders and metoprolol tartrate for the treatment of hypertension and angina pectoris Wait. It is reported that the annual consumption of tartaric acid in the food and pharmaceutical industries in the world alone is as high as 30,000 tons. In the chemical industry, tartaric acid can be used to synthesize various tartrates such as n-hexyl tartrate, dibenzyl tartrate, etc. It is also the main raw material of many tartrates such as potassium hydrogen tartrate, potassium sodium tartrate, sodium tartrate, ammonium tartrate and antimony potassium tartrate. It can also coordinate with a variety of metal ions and be used as a polishing agent and cleaning agent for metal surfaces. In addition, in organic synthesis, due to its special molecular structure, tartaric acid can be used to prepare a variety of chiral catalysts and many structurally complex natural compounds. In the mirror-making industry, tartaric acid can not only be used as a reducing agent for the reaction, but also an indispensable chemical additive, which plays a decisive role in the uniformity of the coating. In the textile industry, tartaric acid is often used together with tannins and is an excellent mordant used in various acid dyes. In addition, tartaric acid can also be used in telecommunications equipment, tanning, enamel, glass, film and other fields.
Preparation
Tartaric acid was first discovered and extracted from tartar. However, due to the extremely limited supply of tartar and the influence of various factors such as natural climate and wine brewing market, it is difficult for naturally extracted tartaric acid to meet the market demand, which will also lead to large fluctuations in the market price of tartaric acid. Therefore, the research and development of tartaric acid production technology is urgent. At present, in addition to the natural extraction method, the existing synthesis methods of tartaric acid also include biosynthesis method and chemical synthesis method.
Natural extraction method
During the brewing process of wine, a by-product called crude tartar is produced, in which the content of potassium hydrogen tartrate is between 50% and 85%. Potassium hydrogen tartrate is insoluble in water at low temperature, but its solubility increases as the temperature increases. Therefore, tartar can be purified by its solubility and further used in the production of tartaric acid. The process is shown in Figure 2. First, the tartar is completely dissolved, then calcium hydroxide is added to react with it, so that part of it is converted into calcium salt, and then calcium chloride is added to make it completely converted into calcium tartrate. Then acidify with sulfuric acid to remove calcium ions, then obtain tartaric acid, and finally obtain pure tartaric acid through concentration, purification and drying [6].

Figure 2. The process of extracting tartaric acid from tartar
Biosynthesis method [7-8]
① Saccharide fermentation method. This method refers to the method of producing tartaric acid by microbial fermentation with amino acids, glycerol, glucose and other compounds as carbon sources (Figure 3a). In the first step, under the action of microorganisms, glucose is oxidized to generate the intermediate 5-keto-D-gluconic acid (5-KGA). In the second step, under the catalysis of ammonium metavanadate, 5-KGA is further converted into tartaric acid, which does not require the action of microorganisms. In recent years, in order to further improve the production efficiency of tartaric acid, scholars have developed a variety of new strains for the synthesis of tartaric acid, but the yield of the product is always low, which limits its industrial application.
② Enzymatic catalysis method. In practical applications, enzymatic catalysis mostly uses biochemical methods to jointly produce tartaric acid. In this method, maleic acid (anhydride) is used as raw material, [W] or [Mo] is used as catalyst, and sodium source is introduced (Figure 3b). First, the intermediate sodium epoxysuccinate is generated by epoxidation reaction (chemical synthesis), and then the intermediate is hydrolyzed under the action of cis-epoxysuccinate hydrolase (CESH) to obtain tartaric acid (biotransformation). In addition, it is also possible to directly use epoxysuccinic acid or its disodium salt as a raw material to prepare the product tartaric acid (biotransformation) by CESH hydrolysis.

Figure 3. Biosynthetic route of tartaric acid
(a) Glucose fermentation synthesis route; (b) Enzymatic catalytic synthesis route
Chemical synthesis [9-11]
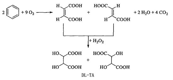
① Benzene oxidation method. In this method, maleic acid and fumaric acid are prepared from benzene by oxygen oxidation, and then L-tartaric acid and d-tartaric acid are further synthesized by hydrogen peroxide oxidation (Figure 4).

Figure 4. Synthesis of DL-TA by benzene oxidation
② Maleic anhydride hydroxychlorination method. In this method, maleic acid (anhydride) is used as raw material. Firstly, hydroxyl chlorination reaction occurs on the double bond under the activation of carbonate, and then tartaric acid, the target product, is obtained by hydrolysis reaction under acidic conditions (Figure 5). Specifically, sodium carbonate, potassium carbonate or ammonium carbonate are used as activators, and the pH of the solution is controlled to be 5-6. Chlorine is introduced into the reaction solution for hydroxyl chlorination reaction, and then the product tartaric acid is synthesized by hydrolysis reaction under the condition of pH 2-5. Both reactions were carried out under normal temperature and pressure. The reaction conditions were mild, but the yield of the product was low.

Figure 5. Synthesis of Tartaric Acid by Hydroxychlorination
③ Maleic anhydride oxidation method. In this method, maleic acid (anhydride) is also used as raw material, which is directly oxidized to tartaric acid through one-step reaction, or the intermediate epoxy succinic acid is synthesized through epoxidation reaction under the catalysis, and then the target product tartaric acid is synthesized through hydrolysis reaction (Figure 6).

Figure 6. Synthesis of DL-TA by Maleic Anhydride Oxidation Method
For DL-TA, its preparation is mainly based on the oxidation of maleic acid (anhydride) in the chemical synthesis method, but the traditional synthesis process has disadvantages such as low product yield and high production cost. Therefore, in order to solve the shortcomings of the existing process, it is urgent to further optimize the synthesis process of DL-TA.
References
1. Guerain M, Derollez P, Roca-Paixo L, et al. Structure determination of a new cocrystal of carbamazepine and DL-tartaric acid by synchrotron powder X-ray diffraction.[J]. Acta crystallographica. Section C, Structural chemistry. 2020, 76(3): 225-230.
2. National Center for Biotechnology Information. "PubChem Compound Summary for CID 875, Tartaric acid" PubChem.
3. Xiaofang, Wang, Xiangyang, et al. Solid–Liquid Equilibrium of d-and l-Tartaric Acid and Their Importance for Enantioseparation[J]. Journal of Chemical & Engineering Data, 2012, 57(6):1779-1786.
4. Kocsis J, Vilardo J S, Brown JR, et al. Tartaric acid derivatives in fuel compositions: US, US8133290 B2[P]. 2012.
5. Bergbreiter D E, Tian J, Hongfa C. Using Soluble Polymer Supports To Facilitate Homogeneous Catalysis[J]. Chemical Reviews, 2009, 109(2):530-582.
6. Devesa-Rey R, Vecino X, Varela-Alende J L, et al. Valorization of winery waste vs. the costs of not recycling[J]. Waste Management. 2011,Vol.31(No.11): 2327-2335.
7. Klasen R, Bringer-Meyer S, Sahm H. Incapability of Gluconobacter oxydans to produce tartaric acid[J]. biotechnology & bioengineering, 1992, 40(1):183-186.
8. Oludipe J O, Koiki K K, Litvintsev I Y, et al. Kinetics and mechanism of homogeneous catalytic hydroxylation of maleic acid by hydrogen peroxide. Part I: Formal kinetics[J]. Journal of Chemical Technology & Biotechnology Biotechnology, 2010, 47(2):151-159.
9. Wang Boyang, Jin Qilong. The Production and Application Manual of Fermented Organic Acid[M]. China Light Industry Press, 2000.
10. Zhang Zhenqing, Fang Qiyun, Chen Guifa, et al.Method of making tartaric acid[P]. CN85100455 (A), 1986-07-09.
11. Harrup M K, Kim G S, Zeng H, et al. Triniobium Polytungstophosphates. Syntheses, Structures, Clarification of Isomerism and Reactivity in the Presence of H2O2 [J]. Inorganic Chemistry, 1998, 37(21):5550-5556.
You may like
Related articles And Qustion
See also
Lastest Price from DL-Tartaric acid manufacturers

US $1.00/g2025-04-21
- CAS:
- 133-37-9
- Min. Order:
- 1g
- Purity:
- 99%
- Supply Ability:
- 1000kg

US $100.00/KG2025-04-21
- CAS:
- 133-37-9
- Min. Order:
- 1KG
- Purity:
- 99%min
- Supply Ability:
- 200TON




