Application of D(+)-Glucose in various fields
D(+)-Glucose is a monosaccharide belonging to the group of carbohydrates, a very important biological compound that makes up the cells of animals, plants, fungi and protozoa. It is strongly associated with the production of the body's energy molecule, adenosine triphosphate (ATP), and is essential for the maintenance of life activities in the human body.

It was shown that gold nanoparticles (AuNPs) can be prepared by oxidising D-glucose and a real-time colourimetric assay based on the synthesis of AuNPs was developed, which was used for the detection of two food-borne pathogens, Enterococcus faecium (E. faecium) and Staphylococcus aureus (S. aureus). In this process glucose is oxidised to gluconic acid by sodium hydroxide (NaOH) to form AuNPs, which are used as a reducing agent. The detection limits were 101 CFU/mL for faecal E. coli and 100 fg/µL for S. aureus, respectively, allowing for simple and immediate molecular diagnostics.
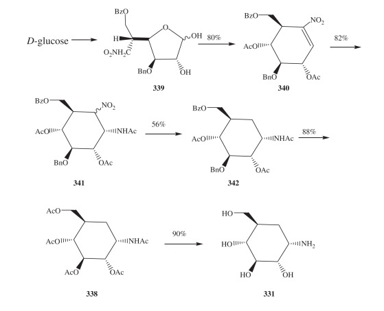
D-glucose is also used as a starting material for the synthesis of validamine. Treatment of a nitrofuranose derivative, 339, with KF in DMF in the presence of 18-crown-6 (23°C, 3 h) yielded a nitroolefin, 340. When 340 was treated with 28% liquid NH3 in THF at −78°C for 2 h and the product was acetylated with Ac2Oand p-TsOH,H2O, 1R-acetamide 341 was obtained. Elimination of the nitro group in 341 with n-Bu3SnH in benzene in the presence of azobisisobutyronitrile (AIBN) (80°C, 3 h) formed 342. After removal of the acetyl groups and the benzoyl group in 342 with 1% NaOH-MeOH, the product was subjected to debenzylation (Na, liquid NH3, −78°C, 30 min) and subsequent acetylation with Ac2O in pyridine, to provide pentaacetylvalidamine (338). Finally, de-O-acetylation of 338 with 10% NaOMe-MeOH (25°C, 3 h), followed by de-N-acetylation with 80% aqueous NH2NH2 in a sealed tube (100°C, 72 h), furnished 331. So, the synthesis of validamine from D-glucose was achieved with an overall yield of 29.09%.

D(+)-Glucose is also a common pharmaceutical product. It is used as a carbohydrate supplement in cases of nutritional deficiencies and metabolic disorders such as hypoglycaemia.
References:
[1] PARK S Y, SIVAKUMAR R, LEE N Y. D-Glucose-Mediated Gold Nanoparticle Fabrication for Colorimetric Detection of Foodborne Pathogens[J]. Biosensors, 2024, 39 1: 443-451. DOI:10.3390/bios14060284.You may like
Related articles And Qustion
See also
Lastest Price from D(+)-Glucose manufacturers

US $40.00-1.50/kg2025-04-21
- CAS:
- 50-99-7
- Min. Order:
- 1kg
- Purity:
- 99.7%
- Supply Ability:
- 20MT

US $10.00/KG2025-04-21
- CAS:
- 50-99-7
- Min. Order:
- 1KG
- Purity:
- 99%
- Supply Ability:
- 10 mt





