Application research of 16-dehydropregnenolone acetate
Introduction
16-Dehydropregnenolone acetate, also known as 3β-(acetyloxy) pregna-5,16-dien-20-one, is used for chemical synthesis of steroid hormones. It can be a potential raw material for steroid bioconversion. 16-Dehydropregnenolone acetate is produced by chemical degradation of solasodine and diosgenin obtained from plant sources. Banerjeeet al. reported the microbial conversion of 16-dehydropregnenolone acetate to 17-ketosteroids, by mixed culture of Pseudomonas diminuta MTCC 3361 and Commamonas acidovorans MTCC 3362. Conversion of 16-dehydropregnenolone acetate could be a potential alternative route for production of 4-androstene-3,17-dione (AD),which is currently dependent mainly on soy sterol bioconversion. Solasodine can be directly converted to AD but lower bioconversion yield is a concern. Moreover, availability of solasodine is limited. Microbial conversions offer a single step route to important steroidal intermediates under mild conditions of temperature and pressure.[1]
Bioconversion of 16-dehydropregnenolone Acetate
Delftia acidovorans MTCC 3363 was found to convert 16-dehydropregnenolone acetate (16-DPA) exclusively to 4-androstene-3, 17-dione (AD). Addition of 9α-hydroxylase inhibitors was not required for preventing the accumulation of byproducts. The effect of pH, temperature, substrate concentration, surfactants and carrier solvents on this bioconversion has been studied. 16-DPA was maximally converted in buffered medium at pH 7.0, at temperature 30°C and 0.5 mg ml-1 substrate concentration. Detergent addition and temperature above 35°C had deleterious effect on bioconversion. Dioxan was found to be the best carrier solvent for biotransformation of 16-dehydropregnenolone acetate to AD.[1]
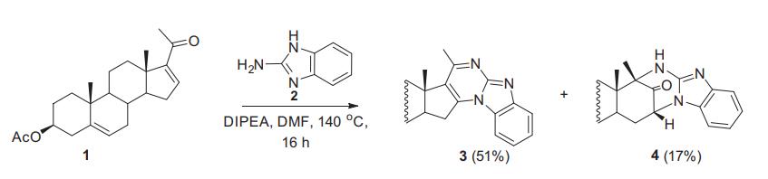
The reaction of 16-dehydropregnenolone acetate with 2-aminobenzimidazole
Wojtkielewicz et al. commenced with this project by investigation into the reaction of 16-dehydropregnenolone acetate (1) and 2-aminobenzimidazole (2) under various conditions. The reaction may produce two different types of pyrimidobenzimidazoles depending on which nitrogen atom (N3 or NH2 group) of 2-aminobenzimidazole attacks first the steroid and which carbon atom (C16 or C20) is attacked.Among two alternative pathways leading to cyclic products shown in Scheme 1, the pathway A seems to be preferred over B, as this course of reaction allows to interact nucleophiles and electrophiles of the same properties with each other (hard ones, the NH2 group and carbonyl group, and soft ones, the imidazole N3 atom and β-carbon atom of the conjugated system, in pairs). Also previous literature reports confirm this hypothesis.[2]

The initial experiment was carried out with 2 equivalents of 2-aminobenzimidazole in presence of DIPEA as a base in DMF,according to Xue protocol. After heating for 16 h at 140℃ a mixture of two products was obtained, pyrimidobenzimidazole 3 and an unexpected ketone 4, in 51% and 17% yield, respectively(Scheme 2).

As 2-aminobenzimidazole possesses two nucleophilic nitrogen atoms(NH2 and N3) the condensation may lead to two isomeric pyrimidines. However, the aromatic product 3 was formed selectively,by imine formation followed by conjugated addition of N3 of benzimidazole to C16 of steroid, cyclization, autoxidation, and aromatization. The major product 3 was accompanied by the D-homoketone 4, produced by the competitive α-ketol type rearrangement of the hydroperoxide intermediate, and the aza-Michael adduct.The choice of solvent and base strongly affected the condensation process. Employing polar aprotic solvents and secondary or tertiary amine pyrimidine 3 was obtained in high yield.[2]
Synthesis and activity of novel 16-dehydropregnenolone acetate derivatives
Testosterone (T) plays a crucial role in prostate growth. In androgen-dependent tissues T is reduced to dihydrotestosterone (DHT) because of the presence of the 5α-reductase enzyme. This androgen is more active than T, since it has a higher affinity for the androgen receptor (AR). When this mechanism is altered, androgen-dependent diseases, including prostate cancer, could result. The aim of this study was to synthesize several 16-dehydropregnenolone acetate derivatives containing a triazole ring at C-21 and a linear or alicyclic ester moiety at C-3 of the steroidal skeleton. These steroids were designed as potential inhibitors of the activity of both types (1 and 2) of 5α-reductase. The cytotoxic activity of these compounds was also evaluated on a panel of PC-3, MCF7, and SK-LU-1 human cancer cell lines. The results from this study showed that with the exception of steroids 20-oxo-21-(1H-1,2,4-triazole-1-yl)pregna-5,16-dien-3β-yl-propionate and 20-oxo-21-(1H-1,2,4-triazole-1-yl)pregna-5,16-dien-3β-yl-pentanoate, the compounds exhibit a lower inhibitory activity for both isoenzymes of 5α-reductase than finasteride. Furthermore the 3β-hydroxy-21-(1H-1,2,4-triazole-1-yl)pregna-5,16-dien-20-one and 20-oxo-21-(1H-1,2,4-triazole-1-yl)pregna-5,16-dien-3β-yl-acetate derivatives display 80% cytotoxic activity on the SK-LU-1 cell line. These results also indicated that the triazole derivatives, which have a hydroxyl or acetoxy group at C-3, could have an anticancer effect, whereas the derivatives with a alicyclic ester group at C-3 do not show biological activity.[3]
References
[1] Awadhiya P, Banerjee T, Patil S. Bioconversion of 16-dehydropregnenolone Acetate to Exclusively 4-androstene-3,17-dione by Delftia acidovorans MTCC 3363. Pol J Microbiol. 2017;66(3):321-326. doi:10.5604/01.3001.0010.4858
[2] Wojtkielewicz A, Uścinowicz P, Siergiejczyk L, Kiełczewska U, Ratkiewicz A, Morzycki JW. A study on the reaction of 16-dehydropregnenolone acetate with 2-aminobenzimidazole. Steroids. 2017;117:71-76. doi:10.1016/j.steroids.2016.09.003
[3] Silva-Ortiz AV, Bratoeff E, Ramírez-Apan T, et al. Synthesis and activity of novel 16-dehydropregnenolone acetate derivatives as inhibitors of type 1 5α-reductase and on cancer cell line SK-LU-1. Bioorg Med Chem. 2015;23(24):7535-7542. doi:10.1016/j.bmc.2015.10.047
You may like
See also
Lastest Price from 16-Dehydropregnenolone acetate manufacturers

US $0.00-0.00/kg2025-10-21
- CAS:
- 979-02-2
- Min. Order:
- 1kg
- Purity:
- 98%min
- Supply Ability:
- 100kg

US $0.00/kg2025-03-18
- CAS:
- 979-02-2
- Min. Order:
- 1kg
- Purity:
- 0.99
- Supply Ability:
- 10T


