Carrageenan - Application in Meat Products
Carrageenan is a high molecular weight linear hydrophilic polysaccharide comprising repeating galactose units and 3,6-anhydrogalactose (3,6 AG) units, both sulfated and nonsulfated, joined by alternating α-(1,3) and β-(1,4) glycosidic linkages. The main carrageenan types, kappa, iota, and lambda, can be prepared in pure form by selective extraction techniques from specific seaweeds such as Euchema species, Chondrus crispus , and Gigartina species ( Fig. 3.1 ). Mu and nu carrageenans are the precursor structures for carrageenan without a 3,6-anhydro ring. These precursors can be converted by enzyme action or chemical treatment into the 3,6-anhydro forms of kappa- and iota-type carrageenans ( Fig. 3.2 ). Very strong and brittle gels characterize kappa carrageenans. Iota, on the other hand, is less strong and more elastic. Lambda carrageenans do not gel and are used primarily for suspension of particulates in sauces and dressings. Kappa and iota are the carrageenans showing the most benefit in meat applications, performing as water managers and texture modifiers. Lambda may show benefit for retention of moisture, but is detrimental to texture.
Commercial carrageenan used in the food industry comes in many forms. Extracted or refined carrageenan has been used extensively in all aspects of food manufacture. After the seaweeds are identified and chosen to make a particular extract, they are washed to remove sand and stones before applying appropriate amounts of various alkalis to swell the seaweed and extract the carrageenan. After extraction and structural modification which completes or advances the naturally occurring precursor transformation, the dilute carrageenan extracts are filtered and clarified by high-speed centrifugation and concentrated by a variety of methods. The concentrated solutions are then precipitated with isopropyl alcohol to give a fibrous mass that is squeezed to remove the alcoholic liquor, dried, and finally ground to the appropriate particle size.

Fig. 3.1 Typical seaweeds used for the extraction of carrageenan (Courtesy of FMC Corporation, Philadelphia, PA)

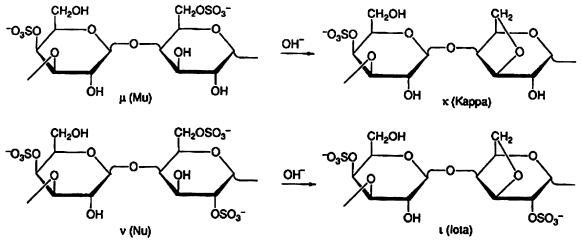
Structures of mu and nu with the corresponding carrageenan after the formation of 3,6- AG unit (courtesy of FMC Corporation, Philadelphia, PA, USA).
An alternative carrageenan recovery process is specific for kappa-type carrageenan and utilizes potassium chloride (KCl) to promote the gelling of kappa carrageenan. As the kappa carrageenan solution is extruded into a concentrated solution of KCl, a fibrous gel mass is formed. The precipitated gel mass exhibits syneresis (exudation of free water as molecular structures aggregate and tighten) and is further dewatered under pressure to make “gel press” carrageenan. The precipitated carrageenan may be frozen and thawed to assist this dewatering step, as this action increases the tightening of molecular structure and the resulting syneresis. The pressed fibers are then dried and ground to the appropriate particle size ( Fig. 3.3 )
In addition to extract carrageenan, processed Euchema seaweed (PES) is also available to food processors. Processed Euchema seaweed (PES) is the regulatory name for this grade of carrageenan, but it is known under a variety of synonyms:Philippines natural grade (PNG), semirefined carrageenan (SRC), and alternatively refined carrageenan (ARC). Another synonym historically used for this type of carrageenan, alkali-modified flour (AMF), is now reserved for a grade of carrageenan used in retorted pet foods due to its dark color, strong sea odor, and high microbial levels.

Fig. 3.3 Manufacturing steps for the extraction of carrageenan from seaweed (courtesy of FMC Corporation, Philadelphia, PA, USA).
PES differs from traditional extract carrageenan in that it contains 8–15% acidinsoluble matter (AIM), compared to 2% maximum for an extract. The AIM mainly comprises the structural network of plant cellulosic and proteinaceous materials, which maintain their integrity during the PES process. Unless processed correctly, applications using PES must have enough inherent energy in the process to break down the AIM structure and release the carrageenan. This means that dispersion, hydration, and solubility profiles are different for extract and PES. In meat applications, swelling of carrageenan is the primary characteristic for functionality. In many applications, PES has proven to be as functional as extract. For applications requiring full clarity, however, extract carrageenans need to be used.
Functional Characteristics and Properties
The primary carrageenan characteristics of which a meat processor should be aware are type, composition, and concentration. The composition of carrageenan used in meat processing can vary widely. Of the components frequently found in a carrageenan blend, the most common are KCl, sodium chloride, sugars, and various other hydrocolloids that include locust bean gum (LBG), guar gum, and xanthan gum. Other hydrocolloids are added to promote unique characteristics based on known synergies with carrageenan. When included in meat products, however, these synergies may not be realized. The high level of ions and the insulating effect of the proteins subdue most interactions that may be possible. Xanthan is often added to a carrageenan blend to promote suspension of carrageenan and other macromolecules in a brine for extended periods. Guar is often added to carrageenan blends for the purpose of increasing viscosity of meat batters. LBG has shown benefits for aiding in the retention of moisture in injected products. However, if the product is tumbled after injection or heat-processed directly after injection, the benefits of LBG are not as visible. In all cases, kappa carrageenan alone will normally give the highest cook yield and firmest texture.
The type of carrageenan selected is dependent on the desired finished product
characteristics. Kappa carrageenan is the “workhorse” of the meat industry. They
improve cook yield, reduce purge (syneresis), and in some cases provide a firmer
texture. Iota carrageenans will increase cook yield, reduce purge, and provide a
more elastic texture. Under processing conditions where the product is cooked in
an impermeable container, kappa carrageenans will generally have a higher cook
yield and firmer texture when compared to iota or lambda carrageenans. However,
under conditions where the product is open to the cooking environment, the differences
in cook yield between types of carrageenan are lower. In fact, Xiong, Noel,
and Moody (1999) found lambda carrageenan to have the highest yield when compared
to iota and kappa in beef sausages. Mills (1995) , Prabhu and Sebranek
(1997) , and Bater, Descamps, and Maurer (1992b) found that differences between
kappa carrageenan and starch were smaller in smoked hams than in hams cooked
in impermeable casings. Usually, cook yield and textures will depend on the level
of moisture added to the meat product.
KCl is the most common ingredient in carrageenan because potassium is
required for the gelling of kappa carrageenans. As indicated earlier, KCl is used
for the precipitation of carrageenan in gel press manufacturing processes and
becomes a component of the carrageenan particle. In some cases, however, carrageenan
will be blended with additional KCl for improving water gel firmness.
Cations enhance gelation of carrageenans through the stabilization of the helical
conformation of carrageenans by shielding the charge of the sulfate groups, followed
by intermolecular (ion–dipole) coordination binding with the polysaccharide
into aggregates (Braudo, 1992; Morris & Chilvers, 1983 ). Kappa carrageenan
will generally show an increase in gel strength with up to 20% KCl added, but
that can vary between carrageenans. This improvement in gel strength, however,
does not transfer to the meat product. In fact, the addition of KCl may interfere
with the function of carrageenan, as reported by Trius, Sebranek, Rust, and Carr
(1994a) . The presence of potassium causes the temperature at which carrageenan
solubilizes to increase, which in turn restricts the swelling of carrageenan and
reduces its ability to manage water. Unpublished data have revealed that as little
as 0.16% KCl will induce a measurable reduction in cook yield in products
cooked in an impermeable casing ( Table 3.1 ). When 1% KCl is added to the formulation,
cook yields can decrease by as much as 11%. This effect of potassium
will have a dramatic impact on formula changes to lower sodium in products.
Kappa carrageenans are affected more than other types of carrageenan, with
extracts being more sensitive to potassium than semirefined carrageenans. The
potassium has a direct effect on the carrageenan and there are no known processing
changes that would overcome this.
Discussions about carrageenan always include gelling characteristics, allowing for the ability to differentiate between carrageenan types. For the most part, gelling characteristics are very important, especially from a quality assurance standpoint. However, comparison between carrageenans of the same type should stop short of discussing gel strength as an indicator of functionality in meat applications. Kappa carrageenans will give firmer texture and better sliceability when compared to iota carrageenans. Within carrageenan type, however, there is very little evidence to suggest gel strength has a significant influence on the overall texture of meat. Within a meat system, evidence suggests that carrageenan does not go completely into solution, a condition necessary for the development of a gel structure ( Fig. 3.4 ).


Carrageenan improves water retention, consistency, sliceability, and texture of poultry products with high levels of added brine (Bater et al., 1992b ; Trudso, 1985) . In regions of the world where 8–12% starch is added to produce economical products, carrageenan is added at quantities of 0.5–0.8% to improve syneresis control and sliceability. Globally, a primary use for carrageenan is cured hams. Mills (1995) showed that 1.5% kappa carrageenan in a 38% added ingredient (AI) cured pork ham exhibited the highest cook yield for cook-in-bag products. The ingredient that most closely approximated carrageenan in this respect was 2% sodium caseinate, which exhibited a cook yield 8.2% below that of carrageenan (96.4% for carrageenan vs. 88.2% for sodium caseinate). The USDA does allow up to 1.5% carrageenan in cured pork products, but it should be noted that this level of use is often too high for the level of added ingredients used in this study. Adding too much carrageenan can result in detrimental effects, such as a gel-like texture or, in the case of injected products, visible gel lines within the muscle.
Usage level of carrageenan will vary depending on the quality of the carrageenan, the amount of carrageenan in the blend and the extension level of the meat product. For all carrageenans, the characteristic measured will increase for each unit increase in carrageenan up to an optimum use level. Beyond that optimum level, adding more carrageenan will not give better results ( Fig. 3.5 ). The optimum review paper that suggests a relationship between breast cancer and consumption of carrageenan, the European Commission’s Scientific Committee on Food (SCF) issued an opinion in which it concluded that “there is no evidence of any adverse effects in humans from exposure to food grade carrageenan, or that exposure to degraded carrageenan from the use of food-grade carrageenan is occurring” (Scientific Committee on Food [SCF], 2003) . The opinion goes on to state that “[t]he Committee does however consider that, if feasible, a molecular weight limit of not >5% below 50 kDa should be introduced into the specification, in order to ensure that the presence of any degraded carrageenan is kept to a minimum” (SCF, 2003) .

Fig. 3.5 Carrageenan concentration and effect on cook yield in turkey breast in impervious casings with 50% injected brine (from Lamkey, 2006) .
Presently, there is no validated analytical method available to accurately measure the low molecular weight tail (LMT) of carrageenan, thereby rendering the European Commission’s molecular weight specification very difficult to enforce in a consistent manner (Marinalg International, 2007) . As a general matter, updates on the work done thus far to establish a validated analytical method for the quantifying the LMT can be found in the web site of the World Association of Seaweed Processors, Marinalg International ( http://www.marinalg.org/ ).
You may like
Related articles And Qustion
Lastest Price from κ-Carrageenan manufacturers

US $0.00/kg2025-04-29
- CAS:
- 11114-20-8
- Min. Order:
- 1kg
- Purity:
- 99%
- Supply Ability:
- 10000KGS

US $10.00/KG2025-04-21
- CAS:
- 11114-20-8
- Min. Order:
- 1KG
- Purity:
- 99%
- Supply Ability:
- 10 mt



