Clindamycin phosphate - Application, Pharmacokinetics, Synthesis, Safety etc.
Clindamycin Phosphate is the phosphate salt form of clindamycin, a semi-synthetic, chlorinated broad spectrum antibiotic produced by chemical modification of lincomycin. It is a lincomide antibiotic, Clindamycin phosphate is used in topical preparations.

Figure 1 the molecular formula of 2,2-Dimethyl-1,3-dioxane-4,6-dione
Application and pharmacokinetics
Acne vulgaris is a common and chronic skin disease, and is a frequent source of morbidity for affected patients. Treatment of acne vulgaris is often difficult due to the multi-factorial nature of this disease. Combination therapy, such as that containing clindamycin and benzoyl peroxide, has become the standard of care. Several fixed formulations of clindamycin 1% and benzoyl peroxide of varying concentrations are available and have been used with considerable success. The major limitation is irritation and dryness from higher concentrations of benzoyl peroxide, and a combination providing optimal efficacy and tolerability has yet to be determined. Recently, a clindamycin and benzoyl peroxide 3.75% fixed combination formulation was developed. Studies have suggested that this formulation may be a safe and effective treatment regimen for patients with acne vulgaris. Here, we provide a brief review of acne pathogenesis, benzoyl peroxide and clindamycin, and profile a new Clindamycin-BP 3.75% fixed combination gel for the treatment of moderate-to-severe acne vulgaris.[1]
The most common topical antibiotics used for the treatment of acne include clindamycin and erythromycin. These antibiotics are used for acne treatment because they target P. acnes colonization and proliferation.25 Clindamycin and erythromycin are antibiotics that work by targeting the 50s subunit of bacterial ribosomes and interfering with protein synthesis, thereby exerting antibacterial effects. In addition to antibacterial activities, clindamycin also has anti-inflammatory properties. It is well known that P. acnes can induce an inflammatory response. Clindamycin has been shown to inhibit this P. acnes-driven inflammatory response as well as inhibit the expression of proinflammatory cytokines, such as IL-1β, IL-6, INF-γ, TNF-α, and GM-CSF .26 Additionally, studies have demonstrated that clindamycin use can also lead to increased phagocytosis and opsonization and an improved inflammatory response.
Although these topical antibiotics have been shown to display considerable success in the treatment of acne vulgaris, they are rarely used as a monotherapy because of the risk for antimicrobial resistance.[2,3]
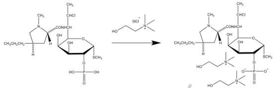
Synthesis
The synthesis scheme for cholinium-clindamycin phosphate was shown in Fig. 3. Ch-CP was synthesized as follows. Clindamycin phosphate (1.00 g, 1.98 mmol) was weighed and added in 10 mL distilled water, stirred until transparent. Choline (48-50% in water, 0.96 g, 3.96 mmol) was then added gradually. Under the airtight condition, the solution of the reactants was stirred at 25℃ for 24 hours, and was concentrated at 40℃. After drying overnight in vacuum at 35℃, a pale-yellow viscous liquid of cholinium-clindamycin phosphate was afforded with a yield of 1.06 g (75.4%).[4]

Figure 3 Synthesis of Clindamycin Phosphate
Toxicological and Safety
Skin irritation was the most common adverse event reported in a trial involving 12 healthy volun- teers following application of 1% clindamycin/0.025% tretinoin gel, 1% clindamycin lotion and clindamycin hydrochloride/tretinoin gel. These formulations were applied once daily for 5 days on facial skin at a dose of 1 mL/day. No recipients of clindamycin/tretinoin gel reported irritation, whereas this event was reported in one clindamycin lotion recipient and three clindamycin hydrochloride/tretinoin gel recipients.
It can cause gastrointestinal reactions: nausea, vomiting, loss of appetite, abdominal distension, diarrhea, rash, leucopenia, elevated transaminase, double infection, pseudomembranous colitis, dyspnea, lip swelling, nasal swelling, tears and allergic reactions. It has been reported that the incidence of pseudomembranous colitis caused by this product is the highest, which may exceed 2%. About 10% of people treated with clindamycin have skin rash, others such as exudative pleomorphic erythema, reversible elevation of serum glutamic oxaloaminotransferase and serum glutamic propyl aminotransferase, granulocytopenia, thrombocytopenia and other allergic reactions.
1. Local reaction: after intramuscular injection, occasional pain, induration and sterile abscess can be seen at the injection site. Long term intravenous drip should pay attention to the occurrence of phlebitis.
2. Gastrointestinal reactions: occasional nausea, vomiting, abdominal pain and diarrhea. Pseudomembranous enteritis can occur in 1-2% of patients.
3. Allergic reaction: a few patients may have drug-induced rash and exfoliative dermatitis occasionally.
4. It is basically non-toxic to the hematopoietic system. It can occasionally cause neutropenia, eosinophilia and thrombocytopenia, which are generally mild and transient.
5. Transient alkaline phosphatase, slight increase of serum transaminase, jaundice and abnormal renal function may occur.
It is contraindicated that lincomycin and clindamycin have cross resistance, and those with a history of allergy to clindamycin or lincomycin are prohibited.
References
1Jones T. M., Jasper S. & Alió Sáenz A. B., "Bioavailability of Clindamycin From a New Clindamycin Phosphate 1.2%-Benzoyl Peroxide 3% Combination Gel," Clinical Pharmacology in Drug Development, Vol.2, No.1(2013), pp.33-47.
2, "ClindamycinTretinoinClinda,".
3
4
You may like
Related articles And Qustion
Lastest Price from Clindamycin phosphate manufacturers

US $1.00/g2025-12-15
- CAS:
- 24729-96-2
- Min. Order:
- 300g
- Purity:
- 99.8%
- Supply Ability:
- 20 TONS

US $0.00-0.00/kg2025-12-09
- CAS:
- 24729-96-2
- Min. Order:
- 1kg
- Purity:
- 99%
- Supply Ability:
- 100kg




