General Description of Dibenzo[b,d]Thiophene
Physical Properties
It is a colorless solid with an mp of 32°C and a bp of 220–221°C; it smells like naphthalene. The resonance energy of benzo[b]thiophene is 58 kcal/mol and it is quite stable at room temperature.
UV (EtOH), λnm (ε): 227(4.40), 249(3.83), 258(3.83), 265(3.63), 289(3.22), 296(3.50).
1 H NMR (CCl4 ), δ (ppm): C2 –H, 7.33; C3 –H, 7.23; C4 –H, 7.72; C5 –H, 7.25; C6 –H, 7.23; C7 –H, 7.29.
13C NMR (CDCl3 ), δ (ppm): C2 , 126.2; C3 , 123.8; C4 , 123.6; C5 , 124.1; C6 , 124.2; C7 , 12; C3a, 139.6; C7a, 139.7.
Benzothiophene is constituted by fusion of the benzene ring with the thiophene ring. There are two possible methods of fusion of the benzene ring with two different sites, namely 2,3- or [b] and 3,4- or [c] sites of the thiophene ring and accordingly two isomeric products: (1) benzo[b]thiophene and (2) benzo[c]thiophene, also known as isobenzothiophene.

Benzo[b]thiophene is a heteroaromatic bicyclic ring system with 10π electrons in which the benzene ring is fused with the 2,3-position or [b] site of the thiophene ring. In benzothiophene, both benzene and thiophene rings are planar because all the carbon atoms are sp2 hybridized. However, substitution in either of the rings causes deviation of 1 degree in planarity. Both the C-S bonds compared to thiophene (1.714 Å) are longer, while the C2-C3 (1.370 Å) bond is shorter. Benzothiophenes being aromatic in nature undergo electrophilic substitution at position 3 unless directed to position 2 by substitution effects. The electrophilic substitution in isolated thiophene is faster compared to fused thiophene ring systems, while such substitutions in the benzene ring are comparatively slower.
The benzo[b]thiophene ring system is also distributed in various natural products, either as a substructure or isolated form. Many of them are pharmacologically very active and some of them are in clinical use for the treatment of various ailments. Some important drugs in clinical use in this ring system are depicted in the following diagram.

Applications
Benzothiophene is regarded as a privileged class of structure showing a wide spectrum of biological activities. Its various derivatives are useful as pesticides, fungicides, and herbicides. Derivatives of benzo[b]thiophenes are useful precursors for the synthesis of thioindigo and azo disperse dyes. This ring system has been recognized as an excellent scaffold in the development of biodynamic agents. Some of its derivatives are useful pharmaceuticals and are currently in clinical use as estrogen receptor antagonists, modulators of multidrug resistance, and antihypertensive, antibacterial, laxative, antiviral, anticancer, and antiinflammatory agents. Some of benzo[b]thiophene derivatives are excellent precursors for the construction of complex heterocycles.
Synthesis
The parent benzothiophene has been prepared by different ways starting with functionalized benzene with acetylene at high temperature.
1. Pyrolysis of a mixture of chlorobenzene, acetylene, and H2S at 650–700°C afforded parent benzothiophene in 70% yields.
2. Thiophenol has also been used as a precursor for the construction of benzothiophene by reaction with acetylene at 400–700°C.
3. Alternatively, it has been prepared by passing a mixture of ethylbenzene and H2S over heated metal oxides (K2O, Al2O3 , and CrO3 ) at 470°C.
4. Intramolecular cyclization of α-mercapto-β-chlorostyrene in alkaline medium offered parent benzothiophene. All the reactions are depicted in the following scheme.

5. Benzothiophene has been prepared by intramolecular cyclization of various aryl sulfides in the presence of different catalysts under different reaction conditions.

(i) Benzo[b]thiophene has been prepared by oxidation-cyclization of 2-phenylthioethanol in the presence of Pd/Al as catalyst at high temperature.
(ii) Arylmercapto acetals have also been used as a precursor for the construction of benzo[b]thiophene through gas phase reaction using ZnCl2-impregnated montmorillonite as catalyst.
(iii) Arylmercapto acetals are also cyclized using Amberlyst A-15 as catalyst in boiling toluene as shown in the foregoing scheme. (iv) Arylthioacetic acid obtainable from the reaction of thiophenol and chloroacetic acid in refluxing alcohol followed by cyclization in acetic anhydride gave 3-hydroxybenzo[b]thiophene, which on dehydroxylation afforded benzo[b]thiophene.
Chemical Reactivity
Electrophilic substitution in benzo[b]thiophene is less prone than thiophene and benzo[b]furan, and usually gives a mixture of C2 - and C3 -substituted benzo[b]thiophenes due to poor regioselectivity. However, C3 substitution is preferential over a C2 substitution product. When the C3 -position is already occupied, the substitution takes place at the C2 -position. Normally, alkylation, halogenations, nitration, and sulfonation of benzo[b]thiophene give a mixture of 3-substituted, 2-substituted, and 2,3-disubstituted products depending on the reaction conditions applied as well as the quantity of the reactants used.
Alkylation
Benzo[b]thiophene is easily isopropylated on heating with isopropene in the presence of sulfuric acid at 35°C under 13.6 atmospheric pressure to deliver 2-isopropylbenzo[b]thiophene. Vinylation of benzo[b]thiophene has been achieved by refluxing a mixture of vinyl cyanide with benzo[b]thiophene in acetic acid using Pd(OAc)2 as catalyst, which gave a mixture of 2-(benzo[b]thiophen-2-yl)acrylonitrile (19%) and 2-(benzo[b]thiophen-3-yl)acrylonitrile (5%). Ce(SO4)2 -catalyzed synthesis of dimethyl 2-(benzo[b]thiopen-2-yl)malonate has been reported by baseinduced reaction of benzo[b]thiophene with dimethyl malonate. Benzo[b]thiophene has been alkylated with tert-butyl bromide in the presence of Si gel and sodium carbonate in CCl4 at 78°C to deliver 2-tert-butylbenzo[b]thiophene.

Halogenation
Controlled chlorination of benzo[b]thiophene at room temperature gave a mixture of 3-chlorobenzo[b]thiophene (69%), 2,3-dichlorobenzo[b]thiophene (28%), and 2-chlorobenzo[b] thiophene (3%). However, reaction in excess of Cl2 yielded 2,3-dichlorobenzo[b]thiophene in high yields. Bromination of benzo[b]thiophene with controlled bromine in CCl4 at room temperature gave 3-bromobenzo[b] thiophene461 in 92% yield but excess of bromine afforded a high yield of 2,3-dibromobenzo[b]thiophene. Iodination of benzo[b]thiophene with iodine in the presence of mercuric oxide gave 3-iodobenzothiophene regioselectively.

Nitration
Benzo[b]thiophene has been nitrated using a mixture of nitric acid and acetic anhydride to yield 3-nitrobenzo[b] thiophene in 73% yields. However, nitration with fuming nitric acid in acetic acid at 70°C gave a complex mixture from which 3-nitrobenzo[b]thiophene (65%) and 2-nitrobenzo[b]thiophene (15%) were isolated. It is conspicuous that nitration with a mixture of concentrated HNO3 and AcOH gave a mixture of 3-nitro- (47%–55%), 4-nitro- (43%), and 5-nitrobenzo[b]thiophene (9%).

Nitration of benzothiophene using ceric ammonium nitrate in acetic anhydride regioselectively gave 3-nitrobenzo[b] thiophene.

Sulfonation
Sulfonation of benzo[b]thiophene with a mixture of sulfuric acid and acetic anhydride gave a mixture of benzo[b] thiophene-3-sulfonic acid (92%) and benzo[b]thiophene-2-sulfonic acid (8%) as a minor product. However, sulfonation with 70% aqueous H2 SO4 at 80°C delivered 3-benzo[b]thiophene-3-sulfonic acid exclusively.

Chloromethylation
Benzo[b]thiophene on reaction with formaldehyde in the presence of concentrated HCl afforded 3-chloromethylbenzo[b]thiophene.

Acylation and Formylation
Interaction of benzo[b]thiophene with acyl chloride in the presence of any of the catalysts AlCl3 , BF3, SnCl4 , or H2SO4 gave 3-acylbenzo[b]thiophene. Formylation of benzo[b]thiophene with DMF–POCl3 delivered 3-formylbenzo[b] thiophene.

Sulfamidation
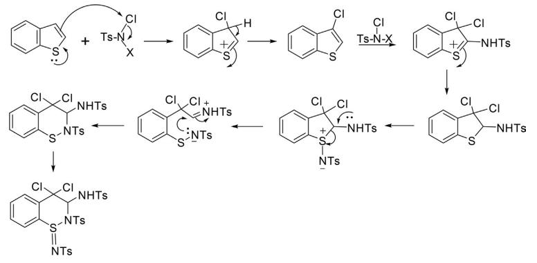
[Cu(NCMe)4 ]BF4 -catalyzed formamidation of benzo[b]thiophene with chloramine-T furnished dihydrobenzothiazine due to ring expansion.

Carbene
Addition Interaction of benzo[b]thiophene and carbene generated from ethyl diazoacetate underwent cycloaddition to provide ethyl cis- and trans-1a,6b-dihydro-1H-benzo[b]cyclopropa[d]thiophene carboxylate.

Metalation Reaction
Benzo[b]thiophene is conveniently lithiated by n-butyllithium in THF at –78°C to yield (benzo[b]thiophen-2-yl) lithium, which acts as a good precursor for electrophilic substitution reactions. The lithiated benzo[b]thiophene reacts with CO2 to give benzo[b]thiophene-2-carboxylic acid. 2-Formylbenzo[b]thiophene has also been prepared indirectly by interaction of lithiated benzo[b]thiophene with N-methyl-N-phenylformamide.

Grignard Reagent
Grignard reagent from 3-bromobenzo[b]thiophene has been prepared by reaction with Mg metal in dry dibromoethane at 25–35°C. The Grignard reagent so formed has been used for electrophilic substitution as a substrate.

Photochemical Reaction
Photochemical cycloaddition of benzo[b]thiophene with alkenes and alkynes bearing electron-withdrawing groups forms different cycloadducts. Reaction of benzo[b]thiophene with dichloroethene as a dienophile gave a mixture of cis- and trans-1,2-dichloro-1,2,2a,7b-tetrahydrobenzo[b]cyclobuta[d]thiophene. The initial step in the cycloaddition process of benzo[b]thiophene with dimethyl acetylenedicarboxylate is the same and the initial product formed is dimethyl 2a,7b-dihydrobenzo[b]cyclobuta[d]thiophene-1,2-dicarboxylate, which on further irradiation underwent photochemical rearrangement to yield dimethyl 2,2a,7b-dihydrobenzo[b]cyclobuta[d]thiophene-2,2a-dicarboxylate.

Oxidation
Benzo[b]thiophene has been oxidized by hydrogen peroxide in acetic acid to benzo[b]thiophene-1,1-dioxide (sulfone), while oxidation with m-CPBA gave benzo[b]thiophene-1-oxide. However, oxidation of benzothiophene with ozone in acetic acid at 290 K proceeded with ozonide formation followed by degradation to 2-mercaptobenzaldehyde.

Reduction
Catalytic hydrogenation of benzo[b]thiophene to 2,3-dihydrobenzo[b]thiophene has been achieved using both PdS and rhodium catalyst. Birch reduction of benzo[b]thiophene with sodium and liquid ammonia yielded the ring-opened compound 2-ethylthiophenol.

You may like
Related articles And Qustion
See also
Lastest Price from Dibenzothiophene manufacturers

US $10.00/KG2025-04-21
- CAS:
- 132-65-0
- Min. Order:
- 1KG
- Purity:
- 99%
- Supply Ability:
- 5tons

US $0.00/KG2025-04-21
- CAS:
- 132-65-0
- Min. Order:
- 1g
- Purity:
- 99.90%
- Supply Ability:
- 10TONS
![132-65-0 Dibenzo[b,d]ThiopheneSynthesisPropertiesReactivityApplications](https://www.chemicalbook.com/CAS/GIF/132-65-0.gif)

