How is Loncastuximab Tesirine synthesised?
Synthesis of Loncastuximab Tesirine
Loncastuximab Tesirine was synthesised in roughly 8 reaction steps starting from vanillin. The specific synthesis steps are as follows:
Step 1: Synthesis of Benzoic Acid 34.4 from Vanillin
Beginning with vanillin (34.1), benzylation and nitration were performed to access tetrasubstituted nitro arene 34.2. Protecting group substitution of the benzyl ether for silyl ether yielded 34.3, which underwent a Pinnick oxidation to afford the benzoic acid derivative 34.4.

Step 2: Conversion of Hydroxyproline 34.5 to Prolinol Silyl Ether 34.8
Next, synthesis of the pyrrolidine ring 34.8 was achieved starting with hydroxyproline 34.5, which underwent Cbz-protection and esterification to form methyl ester 34.6. Reduction to the primary alcohol, followed by TBS protection, provided 34.7, and the Cbz group was cleaved by hydrogenolysis to provide amino alcohol 34.8.

Step 3: Coupling of Benzoic Acid 34.4 and Amino Alcohol 34.8 to Furnish Amide 34.13
Carboxylic acid 34.4 and amino alcohol 34.8 were coupled by using EDCI to form amide 34.9, which underwent TEMPO-mediated oxidation of the secondary alcohol to provide ketone 34.10. Formation of the enol triflate 34.11 followed by Suzuki coupling accessed 34.12, which was purified by chromatography. The final step to access the key aniline fragment 34.13 was a zinc-mediated reduction of the nitro group.

Step 4: Alternative Sequence to 34.13 via Isomerization
Conversion of 34.4 to 34.13 has recently been reported in an alternative sequence, in which 34.4 is coupled with exomethylene proline methyl ester derivative 34.14 to form amide 34.15. Reduction of the ester and silyl ether formation provided 34.16, which can undergo a Pd-catalyzed isomerization to provide 34.13.

Step 5: Assembly of Dipeptide 34.20
The final building block to be assembled was dipeptide 34.20. The synthesis began with the allyl carbonate protection of L-valine (34.17) to provide 34.18. Formation of the N-hydroxysuccinate ester 34.19 using DCC and displacement with L-alanine furnished amide 34.20, which underwent a subsequent EEDQ-mediated amidation with 4-aminobenzyl alcohol to provide 34.21.

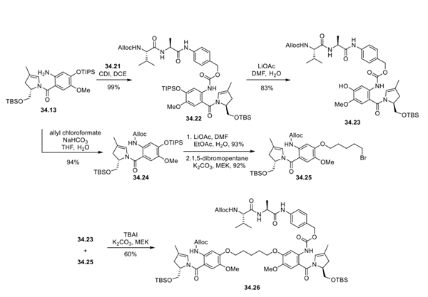
Step 6: Synthesis of 34.26 via Divergent Functionalization of 34.13
This strategy hinged on the identification of a key oxidative
cyclization reaction shown to assemble precursors 34.13 and
34.21. First, CDI-mediated amidation of 34.13
with 34.21 provided elaborated carbamate 34.22, and LiOAc-mediated TIPS deprotection revealed the phenol 34.23. To
access the other fragment of 34.26, aniline 34.13 was protected
with allyl choroformate to form 34.24, and then the TIPS
protecting group was removed using LiOAc. Next, installation of
the ether linker using 1,5-dibromopentane provided bromide 34.25. Coupling of 34.23 and 34.25 under basic conditions
provided the pseudo-dimeric 34.26.

Step 7: Deprotection and Oxidative Cyclization to Form 34.28
To install the key tricyclic functionality of the cytotoxic payload, TBS removal was effected by LiOAc to form 34.27 from silyl ether 34.26. Finally, a Cu-mediated oxidation process formed 34.28.

Step 8: Final Steps to Tesirene (34.30) and Conjugation to Loncastuximab to Form the Final ADC
Pd-catalyzed removal of allyl carbonate protecting groups of 34.28 provided free amine 34.29, which can undergo amidation to install the maleimide-poly(ethylene glycol) (PEG) acid linker to form 34.30. The maleimide 34.30 was purified by chromatography prior to conjugation with loncastuximab, which proceeded via a procedure similar to that reported for other tesirene-based ADCs, where the antibody, loncastuximab, is diluted in a reduction buffer and treated with tris(2- carboxyethyl)phosphine hydrochloride to reduce cysteine disulfide bridges to produce 34.31 bearing reactive thiols. Addition of 34.31 to 34.30 gave the conjugated loncastuximab tesirene, and unreacted thiols were capped with a reagent likeN-ethylmaleimide.



