How is Sacituzumab Govitecan Synthesised?
Synthesis of Sacituzumab Govitecan
The overall synthetic strategy for the preparation of sacituzumab govitecan inherently consists of three separate sequential components, construction of the payload (SN-38) followed by appendage with the CL2A linker before conjugation of the resulting arrangement (CL2A-SN-38) to the Trop-2 antibody. The specific synthesis steps are as follows:
Step 1: Preparation of Irinotecan Progenitor
Nicotinic acid 305 was treated with a 2-fold equivalency of lithium tetramethylpiperidine (LiTMP) prior to exposure to enone 306 to facilitate an ortho-lithiation reaction followed by an intramolecular cyclization to arrive at butyrolactone 307. Reduction of the cyclic ester gave rise to a ring-opened product 308, which then underwent ozonolysis to convert the terminal alkene to the corresponding aldehyde. This aldehyde immediately reacted with the pendant benzylic alcohol to form 309. Oxidation of the hemiacetal to the valerolactone was accomplished by treatment with iodine under basic conditions, and this step was followed by a carbonylative insertion reaction using n-propanol as the solvent to arrive at picolinic ester 311. Sodium iodide-mediated demethylation proceeded in good yield, giving rise to irinotecan progenitor 312.

Step 2: Preparation of SN-38 and Conversion to Coupling Intermediate
The conversion of azabicycle 312 to SN-38 is described in steps. The pyridone nitrogen within 312 underwent Michael addition to t-butyl acrylate (313) under mildly basic conditions, and the resulting enolate reacted with the proximal n-propyl ester to furnish tricycle 314. Acid-mediated decarboxylation cleaved the t-butyl ester, giving rise to pyrrolidone 315. Exposure of 315 to anthranilic ketone 316 under Friedlander conditions resulted in pentacycle 317, which comprised the camptothecin framework of SN-38 as a racemate. Chiral resolution of 317 proceeded via initial ring-opening of the lactone to the corresponding lithium 5-hydroxypentanoic acid, which then was treated with (S)-methoxyphenethylamine 318. Subsequent salt-break and acidification gave rise to the ringclosed, resolved enantiomer 317, which corresponded to the desired enantiomer SN-38. No yields were reported for this series of steps. In preparation for the union of this material with the linker construct, phenol 319 was first protected as the silyl ether prior to the reaction with triphosgene to establish chloroformate 320.

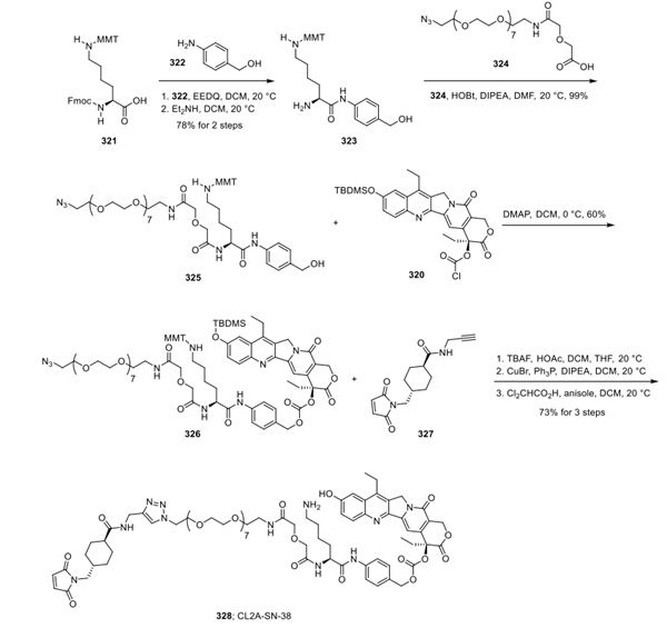
Step 3:Preparation of Linker-Payload Construct CL2A-SN-38
Lysine derivative 321 was coupled with para-amino benzyl alcohol (322) prior to removal of the carbamate protecting group to arrive at α-aminoamide 323. This amine was then coupled with commercial α,ο-azido acid 325 in excellent yield to establish benzylic alcohol 323, which then was reacted with chloroformate 320 under mildly basic conditions to give rise to carbonate 326. Interestingly, researchers at Immunomedics have reported that the carbonate linkage was found to be generally more chemically stable than the corresponding ester analogues in nearly all cases, a subtle, yet critical detail with regard to half-life of the ADC, which presumably is thought to be governed by sterics or hydrophobic topography of the linker in this position. Acidic removal of the silyl ether followed by click cyclization with alkyne 327 and removal of the trityl protection within 326 ultimately furnished CL2A-SN-38 (328) in excellent yield across the three-step sequence.

Step 4: Preparation of Sacituzumab Govitecan
Tris(2-carboxyethyl)phosphine (TCEP)- mediated disulfide cleavage of the Trop-2 antibody preceded exposure to CL2A-SN-38, and this reaction was followed by scavenging with N-ethyl maleimide. This sequence resulted in Michael additions to the reduced antibody in an approximate 7.6-fold stoichiometry to ultimately furnish sacituzumab govitecan in an unspecified yield.



