How to synthesize Palmitoyl Tripeptide-1?
Palmitoyl Oligopeptide The name “palmitoyl oligopeptide” was “removed” in 2013 since it was used to designate two distinct molecules from its development in 1994. The two compounds were renamed as palmitoyl tripeptide-1 (Pal-GHK) and palmitoyl hexapeptide-12 (Pal-KTTKS) to clarify the composition of cosmetic products. Palmitoyl tripeptide-1 is a synthetic fatty acid-linked peptide that can help repair visible skin damage and strengthen the skin’s underlying supportive elements. It’s categorized as a “signal peptide” because of its ability to “tell” skin how to look better, specifically regarding reducing signs of sun damage like wrinkles and rough texture.

Palmitoyl tripeptide-1 is a collagen fragment presenting the sequence N-(1-oxohexadecyl)glycyl-L-histidyl-L-lysine. To date, three different methodologies have been reported for synthesising this tripeptide. The first methodology consists of an initial EDC-mediated coupling of H-Lys(Z)-OBzl×HCl and Boc-His trityl(Trt)-OH followed by removal of the trityl and Boc protecting groups affords H-His-Lys (Z)-OBzl. Coupling of this dipeptide with Pal-Gly-ONb, previously synthesized from Pal-Gly-OSu gives Pal-Gly-His-Lys (Z)-OBzl, which, after removal of Cbz and Bzl protecting groups affords palmitoyl tripeptide-1.
Another reported methodology for the synthesis of this tripeptide is performed by using the same methodology as used for the synthesis of palmitoyl tetrapeptide-7. A preloaded H-Lys(Boc)-HMPB-ChemMatrix resin, coupled with Smoc-L-Hys and Smoc-Gly, is used in a solid-phase approach. Deprotection of the Smoc protecting group, palmitoylation, cleavage of the peptide from the solid support, and further lyophilization affords palmitoyl tripeptide-1.

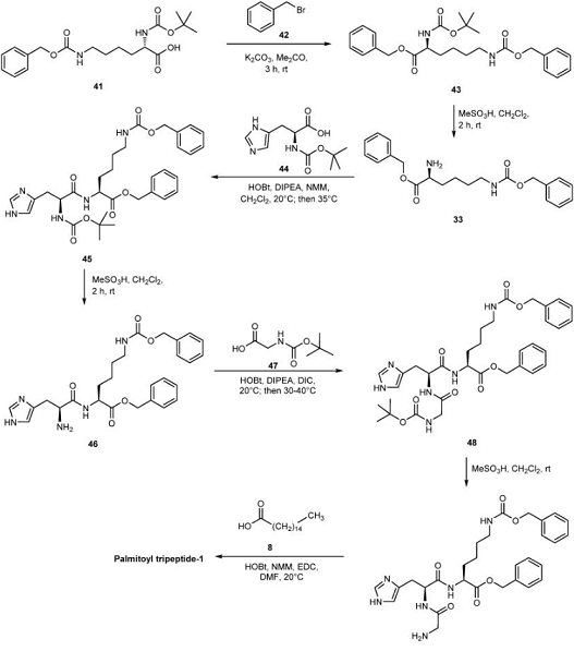
The third methodology is initiated by protecting the carboxylic moiety of Boc-Lys-(Z)-OH to obtain Boc-Lys(Z)-OBzl. Boc removal in acidic conditions, followed by coupling with Boc-His-OH, under usual coupling conditions (HOBt, NMM, DIPEA), gives Boc-His-Lys(Z)-OBzl which, after deprotection/coupling with Boc-Gly-OH and deprotection/palmitoylation with palmitic acid, and final deprotection of the carboxylic moiety with Pd/C furnishes the desired palmitoyl tripeptide-1.
References:
[1] DIANA I S P RESENDE. Usage of Synthetic Peptides in Cosmetics for Sensitive Skin.[J]. ACS Applied Energy Materials, 2021. DOI:10.3390/ph14080702.You may like
Related articles And Qustion
See also
Lastest Price from Palmitoyl Tripeptide-1 manufacturers

US $200.00/g2026-03-02
- CAS:
- 147732-56-7
- Min. Order:
- 1g
- Purity:
- 99%
- Supply Ability:
- 9999

US $0.00/kg2025-11-14
- CAS:
- 147732-56-7
- Min. Order:
- 1kg
- Purity:
- 99%
- Supply Ability:
- 10000KGS




