How to synthesize Tetracaine Hydrochloride
Introduction
Local anesthetics have important application value in modern medical treatment. Tetracaine hydrochloride, as an ester local anesthetic, is mainly used for mucosal anesthesia. It has a rapid effect, little damage to mucosal epithelium and no influence on intraocular pressure and pupil. It has a unique advantage in the application of ophthalmic surface anesthesia. The structure of tetracaine consists of a benzene ring attached to an ester group and an amine group. It is a white, crystalline powder at room temperature, with a faint, characteristic odor. Tetracaine is moderately soluble in alcohol or ether, which is sparingly soluble in water. The relative molecular mass is about 264.37 g/mol. The melting point of tetracaine is around 149-153 ℃,while the boiling point is around 389 ℃.Tetracaine dose is 0.1-0.2 mg/kg and the plasma half-life is 90-200 min.
Tetracaine was firstly synthesized by Firsleb in 1928 as a more potent alternative to procaine. It was developed to address the low potency and short duration of action of procaine and chloroprocaine. The addition of the butyl side chain on the para nitrogen increases the lipid solubility of the drug and enhances the topical potency of tetracaine. The pKa of the dimethylated nitrogen is 8.4 and tetracaine is formulated as a hydrochloride salt with a pH of 3.5 to 6.0. Tetracaine is primarily used in the medical field for local anesthesia, especially in ophthalmic procedures, spinal anesthesia, and topical applications for mucous membranes and the skin. Its mechanism of action involves blocking the initiation and conduction of nerve impulses by inhibiting the influx of sodium ions through the cell membrane.[1]
Synthesis Process of Tetracaine Hydrochloride
By consulting and analyzing the domestic and foreign literatures, it can be seen that the current synthesis route of tetracaine hydrochloride has the following shortcomings: high and rare raw materials, expensive catalysts, harsh reaction conditions, long reaction time, low yield, serious environmental pollution and so on. In addition, polymorphism and solvation are common in local anesthetics, but polymorphism of tetracaine hydrochloride needs to be further clarified. In Li's paper[2], the synthesis process of tetracaine hydrochloride was reported.
The synthetic route obtained by exploration is as follows: tetracaine hydrochloride is obtained from benzocaine by N-alkylation, transesterification and salt formation.
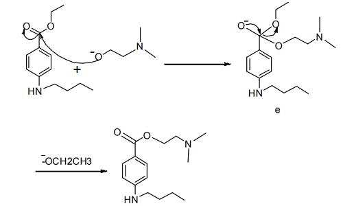
(1) N-alkylation-synthesis of ethyl 4-(butylamino)benzoate
The optimum technological conditions for N-alkylation are as follows: using benzocaine and bromobutane as raw materials, organic base A as catalysts,acetonitrile as solvent, benzocaine: bromobutane: organic base A: acetonitrile
1:2:2:0.3, the reaction temperature was 120℃, the reaction time was 3 h, the optimized yield was increased by 7.7%, and the time was shortened by 7 h. Synthetic reaction mechanism of ethyl 4-(butylamino)benzoate is shown in Figure 1.

(2)Transesterification-synthesis of 4-(Butylamino)-benzoic acid-2-(dimethylamino) ethyl ester
The optimum technological conditions for transesterification reaction are as follows: ethyl 4-(butylamino)benzoate and dimethylethanolamine are used as the raw material, ethyl 4-(butylamino)benzoate: dimethylethanolamine= 1:1.5, the reaction temperature was 100℃, the reaction time was 11h, dimethylethanolamine was added in batches. The yield was 71.4%, the optimized yield and purity have been improved. Synthetic reaction mechanism of 4-(Butylamino)-benzoic acid-2-(dimethylamino) ethyl ester is shown in Figure 2.

(3)Salt formation-synthesis of Tetracaine Hydrochloride
The preferred process for the salt formation reaction was: direct introduction of dry HCl gas into the tetracaine ethanol solution, tetracaine: ethanol=1:2, and the rate of HCl gas overflow was about 260/min (Figure 3). The calculated yield of ethyl 4-(butylamino) benzoate was 23.5% higher than the literature value. The total yield was calculated to be 53.3% using benzocaine, and the purity was determined to be 99.2% by HPLC.The yield has increased by 25.3% compared to the literature value. Specific parameters and operating methods can be found in reference 2. Compared with that of the traditional synthesis process, the yield and purity of the product obtained through this route are higher. Moreover, raw materials are cheap, and the production facilities are simple. The synthesis process is suitable for industrial production.
Conclusion
Tetracaine hydrochloride is a topical anesthetic which also works as a nerve blocking agent by selectively inhibiting ion influx through sodium-channels of the nerve endings within the dermis, preventing pain receptor signaling, thus causing a lossof sensation. It has been made into various drug formulations. For instance, tetracaine hydrochloride cream is an estertype topical anesthetic with a similarly fast onset of action of about 30 min with greater potency given by its lipophilic nature and thus it penetrates the skin faster than regular lidocaine. Tetracaine hydrochloride is considered safe as no systemic reaction has been observed in either adults or children. A good synthesis method can save research and development costs and bring good economic benefits.
References
[1] Li Wenli, Zhao Jie, Cui Yujie Research on the synthesis process of tetracaine hydrochloride [J]. Contemporary chemical research, 2017,(11):36-37.
[2] Li Shasha, Synthesis process and crystal structure qualitative and quantitative study of tetracaine hydrochloride [D]. Zhengzhou University,2019.1-106.
You may like
Related articles And Qustion
Lastest Price from Tetracaine manufacturers

US $300.00/g2026-04-05
- CAS:
- 94-24-6
- Min. Order:
- 1g
- Purity:
- 99%
- Supply Ability:
- 99999

US $0.00-0.00/kg2026-03-27
- CAS:
- 94-24-6
- Min. Order:
- 1kg
- Purity:
- 99%pure
- Supply Ability:
- 1000kg






