ChemicalBook > Articles Catagory List >API >mechanism-of-the-deprotonation-reaction-of-alkyl-benzyl-ethers-with-n-butyllithium

Mechanism of the Deprotonation Reaction of Alkyl Benzyl Ethers with n-Butyllithium

Apr 22,2024

What is n-Butyllithium?

n-Butyllithium is an organolithium reagent, a good nucleophile and a strong base (pKa ~ 48). n-Butyllithium is a good nucleophile and a strong base (pKa ~ 48). The combined forms of organolithium reagents in solution are mainly in the form of hexamers, tetramers and dimers, except for monomers. n-Butyllithium has the appearance of a colourless to yellow transparent solution, with spontaneous combustion, and is widely used in organic synthesis. It can be used in deprotonation and metal halide exchange reactions; synthesis of solution styrene-butadiene rubber and styrenic thermoplastic elastomers. It can also be used in the synthesis of chemical intermediates. Its structural formula is shown below:

Article illustration

Abstract

Kinetic study of the a-lithiation of benzyl methyl ether (BME) by nBuLi has revealed that increasing the concentration of the organolithium compound does not necessarily increase the reactivity, and this is a consequence of the reactivities of the different nBuLi aggregates present in solution. We propose a dimer-based mechanism, in which a pre-complexation step is a key process for substrates bearing a donor oxygen atom that can interact with the lithium cation to form mixed dimers. For these studies, we have developed a system based on UV/ Vis spectroscopy that allows kinetic measurements to be conducted at - 80 ℃ under argon.

Article illustration

Reaction mechanism

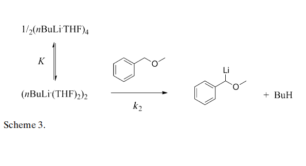
The nonlinear kobs versus [nBuLi] profile shown in Figure 1 can be explained by considering the aggregation equilibrium of n-butyllithium, with the dimer concentration being affected by the solvent composition and the total organolithium concentration. In a first approximation, two reaction pathways may be considered involving the dimer and tetramer of nBuLi. However, in a recent study, Reich and co-workers demonstrated that the rate of acetylene deprotonation by the dimer is at least 106 times higher than that by the tetramer. Consequently, we can neglect the lithiation pathway by the tetramer and propose the mechanism shown in Scheme 3. From this scheme, we propose a rate equation for which the observed rate constant conforms to a linear dependence on dimer concentration.

Article illustration

Article illustration

Considering the proton transfer as an elementary step, the rate of the reaction can be written as the product of a “bi-molecular” rate constant, k2, multiplied by the concentration of the reacting species: nBuLi dimer and total BME concentration (rate=k2[BME][dimer]). In cases for which the concentration of one of the reactants, BME under our experimental conditions, is much lower than that of the other, nBuLi in the present study, it can be assumed that the latter concentration remains constant during the reaction. Assuing that the nBuLi concentration remains constant during the reaction is equivalent to assuming that the dimer concentration remains constant, and consequently the rate equation can be rewritten as: rate=kobs[BME], in which kobs is expressed by Equation (1). If the nBuLi aggregation equilibrium constant is available, we can use either the total nBuLi concentration or the dimer concentration in the rate equation. 

Article illustration

The dimer concentration can be easily obtained by considering the mass balance for nBuLi and the equilibrium constant for its dimer–tetramer aggregation. Figure 6a shows the linear dependences obtained for BME deprotonation in 100, 75, and 50% THF. As can be observed, the slopes of the plots (k2=1.50 × 10- 3, 1.67 × 10- 3, and 1.16 × 10- 3m- 1 s- 1for 100, 75, and 50% THF, respectively) are independent of the solvent, which suggests that the deprotonation rate constant is largely unaffected by solvent polarity under our experimental conditions. Small but perceptible intercepts can be observed in Figure 6, which can be attributed to competing butyllithium decomposition.

Figure 6b shows an analogous linear plot for BME deprotonation by using a commercial solution of nBuLi in hexanes (kobs versus [nBuLi] data in Figure 1), for which the solvent composition varied from 99.7% THF to 73% THF/ 27% hexanes on increasing the butyllithium concentration. The very good linear plot confirms that the nonlinear plot in Figure 1 can be attributed to the nonlinear dependence of the dimer concentration on total [nBuLi] as a consequence of the aggregation equilibrium and the change in its equilibrium constant due to changes in solvent composition. Moreover, the slope of the plot (k2=1.39 × 10- 3m-1 s-1) is in very good agreement with previous values obtained for other solvent compositions.

Article illustration

We have performed a kinetic study of the deprotonation reactions of alkyl benzyl ethers, diphenylmethane, and triphenylmethane with nBuLi. The experimental setup using UV/ Vis spectroscopy to perform the kinetic study in the absence of air and water, at low temperatures (-80 or -40 ℃), allowed us to obtain satisfactory quantitative data. Analysis of the kinetics of the deprotonation reactions with nBuLi revealed that increasing the concentration of the organolithium compound does not necessarily increase the reactivity. This behavior is not a consequence of the polarity of the medium or of the substrate, but of the reactivity of the different aggregates of nBuLi present in the reaction media: tetramer and dimer. The presence of TMEDA resulted in an enhanced rate as a consequence of a higher proportion of dimer in the reaction media, confirming the latter as the reactive species.

Differences in the reaction rates for the various substrates studied indicate that the widely accepted mechanism, in which the nucleophilic carbon atom of nBuLi attacks the acidic hydrogen atom, only explains the reactivity when there are no basic heteroatoms in the molecule, whereupon the pKa is the determining factor in the reaction. For those compounds bearing a basic heteroatom that can coordinate to the lithium, however, there is a step prior to deprotonation, namely complexation of the lithium to the donor atom to form the more reactive mixed dimer.

References:

[1] DR. M. LUZ RAPOSO. Mechanism of the Deprotonation Reaction of Alkyl Benzyl Ethers with n-Butyllithium[J]. Chemistry - A European Journal, 2013. DOI:10.1002/chem.201204467.

109-72-8 n-ButyllithiumReactionMechanismAlkyl Benzyl Ethers n-Butyllithium
109-72-8

Lastest Price from n-Butyllithium manufacturers

n-Butyllithium
109-72-8 n-Butyllithium
US $1.00/KG2025-04-21
CAS:
109-72-8
Min. Order:
1KG
Purity:
99%
Supply Ability:
10 mt
N-BUTYLLITHIUM IN HEXANES
109-72-8 N-BUTYLLITHIUM IN HEXANES
US $0.00/KG2025-03-05
CAS:
109-72-8
Min. Order:
1KG
Purity:
>99%
Supply Ability:
100 MT