Methyl cyclopentenolone:Introduction,Synthesis methods and Main applications
Introduction
Methyl cyclopentenolone (MCP), also known as trimethyl-1,2-cyclopentanedione. Because there is an enol structure in the molecular structure, and enol structures undergo structural exchange, it is also named 2-hydroxy-3-methyl-2-cyclopentenone. Its structure is shown in Figure 1. Methyl cyclopentenone is a white crystalline powder with a nutty aroma. The melting range is 104-108 ℃; After heating, MCP is soluble in water and easily sublimates. It can also be dissolved in ethanol, glycerol, triethylene glycol, and chloroform. When the pH of the solution is greater than 7 or when trivalent iron ions are present in the solution, methyl cyclopentenone will change color. MCP is present in certain plants such as oak or coffee beans.[1]

Synthesis methods [2]
Methyl cyclopentenolone was a commercially available variety in the 1980s internationally, with the vast majority being artificially synthesized. According to the different raw materials used, the existing synthesis processes for MCP mainly include: diethyl oxalate method, dimethyl adipate method, 2,5-hexanedione method, isoprene method, 2-methylfuran method, 2-ethoxyacetaldehyde method, 2-methylcyclopentanone method, etc.
Early researchers mainly used the 2,5-hexanedione method. The synthesis pathway is shown in Figure 2. Acheson et al. reported that 3-methyl-2-cyclopenten-1-one was generated by reacting 2,5-hexanedione with 1% W/V NaOH solution. However, the conversion rate of the raw materials in this step was not ideal, and 20% of the raw material residue could still be detected after the reaction was completed. Bagnell et al. conducted research on process improvement methods. Under high temperature conditions, 3-methyl-2-cyclopenten-1-one was prepared by reacting with 0.076% W/V NaOH solution. Finally, Langin Lanteri et al. found that under alkaline conditions, 3-methyl-2-cyclopenten-1-one was oxidized using hydrogen peroxide, and then hydrolyzed to prepare methyl cyclopentenone. During the preparation process, this process involves high-temperature reactions and oxidation reactions, which increases the risk for workers during operation, and the cost of raw materials is expensive, making it unsuitable for industrial production.

The existing production process of methyl cyclopentenolone can basically achieve low raw material cost, wide source, high product yield and purity, and mild reaction conditions. However, dealing with environmental pollution is still a difficult point in the production of MCP. The 2-methylfuran method, which has undergone green transformation, is widely used due to its low cost and easy availability of raw materials, as well as mild reaction conditions.
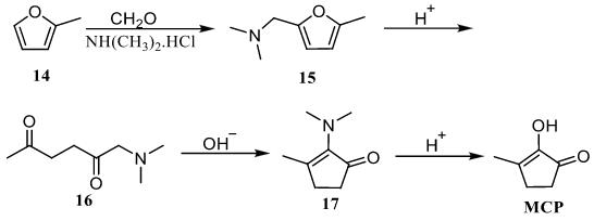
The synthesis pathway of 2-methylfuran method is shown in Figure 3. Firstly, the Mannich reaction product N, N-dimethyl-5-methylfurfurylamine is prepared by boiling formaldehyde, dimethylamine aqueous solution, and 2-methylfuran in one pot under weakly acidic conditions (pH 4.5). Secondly, using dilute hydrochloric acid as a catalyst, N, N-dimethyl-5-methylfurfurylamine undergoes ring opening rearrangement at 98-100 ℃. The reaction system is then adjusted to pH 12-13 and temperature 70-80 ℃ to obtain 1-dimethylamino-2,5-hexanedione. Finally, methylcyclopentenolone was obtained through hydrolysis and recrystallization. The raw materials of this process are cheap and easy to obtain, and the operation is simple. It has already been industrialized in China. However, the toxicity of the raw materials is high, and a large amount of irritating gases will be generated during the reaction process, while a large amount of wastewater will be produced. How to deal with the pollution caused by the production process to the environment is still a challenge for this technology.[3]

Main applications
Methyl cyclopentenolone releases a coffee like aroma after high-temperature cracking. It is a good flavor enhancer and low heat sweetener, and can be widely used in food, beverage and other essence formulations, such as ice cream, cakes, confectionary drinks, baked foods and fruit treasures. It is a food flavor (Methyl cyclopentenolone: S0212). It is also used to make special scents, such as maple syrup, chocolate and essence for caramel. Methyl cyclopentenolone is also a type of flavoring substance widely used in tobacco production; Spraying methyl cyclopentenone or its derivatives onto tobacco can improve the quality of cigarettes; Often used in detergents and cosmetics. In addition, MCP was further reacted to synthesize compounds with anticancer activity, replacing derivatives of methylene cyclopentanone Mannich base and alkyl cyclopentanone Mannich base. These compounds exhibited strong inhibitory effects on L1210 cells in vitro and mouse ascites carcinoma in vivo.[2] In summary, methyl cyclopentenolone has a wide range of applications, significant economic benefits, and good development prospects.
References
[1]Yuan Jc. Research on the Synthesis Reaction of Methyl cyclopentenolone Based on Online Infrared Spectroscopy Technology [D]. Shanghai University of Applied Sciences, 2022..DOI:10.27801/d.cnki.gshyy.2021.000436.
[2]Zhong Lj, Ma Gh, Ma Zw, etc. Research progress on the synthesis of methyl cyclopentenone [J]. Chinese Journal of Food and Nutrition, 2018, 24 (07): 52-54.
[3] Li Yx, Li Q, Shen P, etc Synthesis of 2-hydroxy-3-methyl-2-cyclopentene-1-one [J]. Essence, Fragrance, Cosmetics, 2008,4:9-11.
You may like
See also
Lastest Price from Methyl cyclopentenolone manufacturers

US $0.00/kg2025-04-21
- CAS:
- 80-71-7
- Min. Order:
- 1kg
- Purity:
- 95%
- Supply Ability:
- 10000kg

US $10.00/KG2025-04-21
- CAS:
- 80-71-7
- Min. Order:
- 1KG
- Purity:
- 99%
- Supply Ability:
- 100 mt


