Palmitoyl Tripeptide-5: Uses and Synthesis
Introduction
Palmitoyl tripeptide-5 is a Thrombospondin I (TSP-1) fragment presenting the sequence N-(1-oxohexadecyl)-L-lysyl-L-valyl-L-lysine.
Tripeptide-5 is a highly bioactive, deeply skin-penetrating peptide (palmitoyl tripeptide-5). Has been found in-vitro studies to activate tissue growth factor (TGF-beta). TGF-beta is known to stimulate collagen synthesis in the skin. The peptide content is 900-1300 ppm (approximately 1g peptide/1kg solution). Dissolved in glycerin and water. In-vitro tests showed that tripeptide has better collagen-building capacity than TGF-beta. Has been found to improve significantly the appearance of any type of wrinkles. Has good skin-firming and moisturizing properties. It may reduce the appearance of stretch marks. In a clinical study with 60 volunteers, a significant reduction in the appearance of wrinkles was shown after use of 84 days. It could be used as an alternate method to collagen injections used in lip products.
Synthesis

Two different liquid-phase methodologies were described for synthesising this tripeptide, designed to surpass some of the disadvantages associated with the solid-phase synthetic methodologies (high costs and pollution to the environment. One methodology involves a convergent synthesis with the initial formation of a N-carboxyanhydride 14 by L-valine (12) reaction with phosgene (13). Boc-L-lysine (15) is then coupled to the N-carboxyanhydride 14, forming Boc-protected dipeptide 16. In a convergent route, N-acylated aminoacid 18 is prepared from Boc-L-lysine (15) and palmitoyl chloride (17). EDC/NHS Activation of the carboxyl group of Pal-Lys(Boc)-OH (18) produces Pal-Lys(Boc)-OSu (19). Coupling of intermediates 16 and 19 and further Boc deprotection furnishes palmitoyl tripeptide-5 (figure 1).

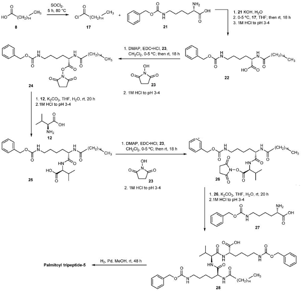
Although via a linear strategy, the other synthetic methodology reported for preparing palmitoyl tripeptide-5 is quite similar to the one depicted in Figure 1. The initial formation of palmitoyl chloride (17) from palmitic acid 8, followed by coupling with benzyloxycarbonyl (Cbz)-L-lysine 21, forms Pal-Lys(Cbz)-OH (22). Further activation of the carboxyl group of Pal-Lys(Cbz)-OH (22) with NHS (23) and coupling with L-valine (12), followed by a second activation of the carboxyl group of 25 with NHS (23) and coupling with Cbz-L-lysine (27) furnishes Pal-Lys (Cbz)-Val-Lys(Cbz)-OH (28). The final deprotection of the Cbz groups allows the palmitoyl tripeptide-5 to be obtained (figure 2)[1].
Uses
Palmitoyl tripeptide-5 was used in a cosmetic ingredient mix from a raw material supplier, containing spent grain wax and conjugated linoleic acid (CLA), to reduce skin redness in type I rosacea. This ingredient mix is currently unavailable. Palmitoyl tripeptide-5 is proposed to reduce metalloproteases (MMP’s) expression and pro-inflammatory cytokine syntheses, causing vasodilation and capillary permeability. However, neither efficacy studies for using palmitoyl tripeptide-5 alone or in this mix in rosacea of sensitive skin are available. This peptide has also been used in patented cosmetic formulations for sensitive skin. Palmitoyl tripeptide-5 is also used in anti-aging cosmetic products, due to its ability to reduce MMP’S, promote the synthesis of type I and type II collagen from extracellular matrix, and inhibit melanin production by reducing tyrosinase activity.
References:
[1] DIANA I S P RESENDE. Usage of Synthetic Peptides in Cosmetics for Sensitive Skin.[J]. ACS Applied Energy Materials, 2021. DOI:10.3390/ph14080702.You may like
Related articles And Qustion
See also
Lastest Price from Palmitoyl Tripeptide-5 manufacturers

US $0.00-0.00/Box2025-06-10
- CAS:
- 623172-56-5
- Min. Order:
- 1Box
- Purity:
- 99.99%
- Supply Ability:
- 10 Boxes

US $0.00-0.00/kg2025-06-10
- CAS:
- 623172-56-5
- Min. Order:
- 0.000009999999747378752kg
- Purity:
- 99%
- Supply Ability:
- 200000000T



