Preparation of 2,6-Dichloropurine riboside
2,6-Dichloropurine riboside is an antitumor and antiviral drug, and is effective in the treatment of infections caused by mycoplasma. For example, 2,6-Dichloropurine riboside is the raw material for the production of 2-chloroadenosine, which is one of the newly developed anticancer agents in recent years.
This paper introduces several synthetic methods of 2,6-Dichloropurine riboside.
Method 1
Dissolve 2-amino-6-chloropurine nucleoside in 31% concentrated hydrochloric acid and add sodium nitrite solution dropwise at low temperature to diazotize the 2-position amino group, then the diazotized amino group was replaced by chloride ion to produce 2,6-Dichloropurine riboside in 43% yield with the following reaction equation:

Method 2
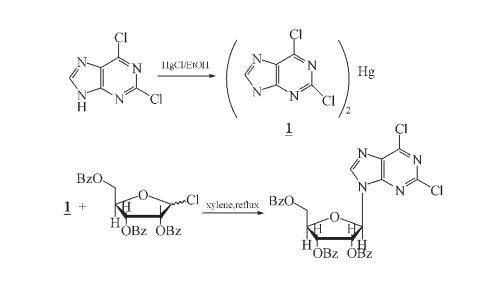
The mercury salt of 2,6-dichloropurine was condensed with 1-chloro-2,3,5-tribenzoyl ribose at room temperature to obtain the key intermediate, however, due to the high reactivity of the 6-position chlorine, the target product was not obtained in the deprotection step. The reaction equation is as follows:

Method 3
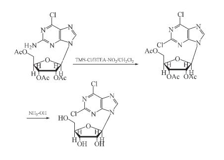
The intermediate was obtained by diazotization of protected 2,6-Dichloropurine riboside, and then deacetylated by ammonia-methanol system in 50% yield. The synthetic route was as follows:

You may like
Lastest Price from 2,6-Dichloropurine riboside manufacturers

US $0.00-0.00/mg2025-06-16
- CAS:
- 13276-52-3
- Min. Order:
- 10mg
- Purity:
- 99%+ HPLC
- Supply Ability:
- 1000

US $0.00/kg2025-04-21
- CAS:
- 13276-52-3
- Min. Order:
- 1kg
- Purity:
- 98%min
- Supply Ability:
- 1000kg

