Pyrazole - Properties, Synthesis, Reactions etc.
Physical Properties
Pyrazole is a colorless crystalline solid with a pyridine-like odor and weak base, with a pKb of 11.5. It is partially soluble in water with an mp of 70°C and a bp of 188°C. In concentrated solution it exists in dimeric form due to intermolecular hydrogen bonding.
UV (ethanol) λnm (ε): 210 (3.53). 1 H NMR (CCl4 ), δ (ppm): C3 –H, 7.61; C4 –H, 6.31; C5 –H, 7.61; N–H, 12.64. 13C NMR (CDCl3 ), δ (ppm): C3 , 134.3; C4 , 105.2, C5 , 135.3.
Chemical Reactivity
Pyrazole has two ring nitrogen atoms in which N1 is pyrrolic and N2 is pyridine-like. The N1 nitrogen is not reactive but is deprotonated in the presence of a base-forming anion. The presence of both electronegative nitrogen atoms in the pyrazole ring reduces the electron density of the C3 - and C5 -positions leaving electron density of C4 -position unaltered. Thus the C4 -position is vulnerable to electrophilic attack. The C3 electrophilic-position may undergo deprotonation in the presence of a strong base leading to ring opening. Protonation of pyrazole in strong acid leads to pyrazolium cations, which undergo electrophilic substitution preferentially at C3 rather than C4 . The pyrazole anion is not reactive toward nucleophiles but is mostly reactive to electrophiles.
The pyrazole ring is resistant to oxidation and reduction but the groups, such as alkyl and formyl attached to the ring, are oxidized to respective acids. Only electrolytic oxidation, ozonolysis, and a strong base cause ring opening.
Pyrazole is a five-membered, sp2 -hybridized and delocalized 6π-electron heteroaromatic ring system with two adjacent nitrogen atoms and three carbon atoms. When a lone pair of electrons is not part of the aromatic system and extended in the plane of the ring, it is responsible for the basicity of the molecule and resembles amines. The delocalized lone pair of electrons on the ring nitrogen connected with hydrogen participating in the aromatic sextet is nonbasic. Parent pyrazole has a planar structure with three possible tautomeric forms: A, B, and C. It exists as a dimer in concentrated solution due to hydrogen bonding.

The bond lengths and bond angles are calculated by microwave spectra and are found consistent with structural formulae. The C3-C4 bond length is longest among the rest of the bonds and the angle C5N1N2 is the highest (113.0 degrees) among the rest of the internal bond angles. The calculated electron densities on the ring atom revealed that C4 has maximum electron density and is prone to electrophilic substitution reactions, while the C3 - and C5 -positions have poor electron density and will be susceptible to nucleophilic attack. The ionization energy of pyrazole is 9.15 eV.

Importance of Pyrazoles
Diverse pharmacological activities are associated with pyrazole and its derivatives and have great significance in medicinal chemistry. They are useful building blocks for the construction of various pharmaceuticals, bleaching agents, dyes, and agrochemicals to control various pests and herbs. These are also used as bifunctional ligands to prepare metal catalysts. As pharmaceuticals they have antimalarial, antipyretic, antitubercular, anticancer, antiinflammatory, antidepressant, anticonvulsant, antihyperglycemic, and antioxidant properties.
Some of the important pyrazole-based drugs in clinical use are as shown in the following scheme.

Synthesis
The therapeutic importance of pyrazoles has made them a very popular scaffold for the construction of newer entities with better pharmacological profiles. There are numerous approaches for the construction of parent and substituted pyrazoles:
1. From 1,3-diketones with hydrazines
2. From α-enones and α-ynones
3. From alkynes
4. By ring transformation reactions
5. From ketene N,S- and S,S-acetals.
6. Miscellaneous reactions
Reaction of 1,3-Diketones With Hydrazines
Condensation of 1,3-diketones with hydrazine hydrate and aryl hydrazines separately yielded 3,5-disubstituted and 1,3,5-trisubstituted pyrazoles, respectively. The reaction is exothermic and requires cooling during running the reaction. Unsymmetrical 1,3-diketones on reaction with hydrazine give a mixture of structural isomers and the pathway of reaction depends on the nature of the substituent as well as pH of the medium.

A convenient synthesis of pyrazole has been developed through condensation of 1,3-diketones with acid hydrazide in the presence of Sc(OTf)3 as catalyst in 93% yields.

From α-Enones and α-Ynones
Synthesis of various substituted pyrazoles has been developed by the reaction of β-ethylenic carbonyl compounds with substituted hydrazines and also by condensation–cyclization of α,β-unsaturated carbonyl compounds with hydrazine hydrate.

From Alkynes
Terminal alkyne reacting with N-alkylated tosylhydrazone in the presence of AlCl3 afforded 1,3,5-pyrazoles in very good yields with complete regioselectivity and compatibility of functional groups.

By Ring Transformation Reactions
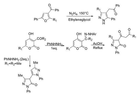
(a) 3-Benzoyl-2-substituted 5-phenylfurans on reaction with hydrazine in ethylene glycol afforded 4-benzoylmethyl- 3(5)-phenylpyrazoles in moderate yields.
(b) A reaction of 3-acyl-2H-pyran-2,4-diones with phenylhydrazine in benzene at reflux gave corresponding hydrazine, which on refluxing in acetic acid afforded 5-pyrazolone derivatives in good yields. However, pyran on reaction with 2 equivalents of hydrazine 4-pyrazolyl pyrazolones were isolated.

From Oxoketene and Cyanoketene N,S- and N,N-acetals
Oxoketene and cyanoketene N,S- and S,S-acetals are versatile precursors for the construction of a variety of substituted pyrazoles on reaction with ambiphilic nucleophiles such as hydrazine and substituted hydrazines.

You may like
Related articles And Qustion
See also
Lastest Price from Pyrazole manufacturers

US $0.00/KG2025-04-21
- CAS:
- 288-13-1
- Min. Order:
- 1KG
- Purity:
- 98%min
- Supply Ability:
- 30tons/month

US $25.00/ASSAYS2025-04-21
- CAS:
- 288-13-1
- Min. Order:
- 100ASSAYS
- Purity:
- 99.5%
- Supply Ability:
- 100 mt

![132-65-0 Dibenzo[b,d]ThiopheneSynthesisPropertiesReactivityApplications](/NewsImg/2025-03-25/6387851105308407325590722.jpg)

![132-65-0 Dibenzo[b,d]ThiopheneSynthesisPropertiesReactivityApplications](/NewsImg/2022-01-29/6377904628503572759200536.jpg)
