SR9011: Synthesis, Detection and Bioactivity
General description
Myocardial infarction is one of the most deadly cardiovascular diseases. Myocardial infarction is caused by coronary artery narrowing or spasm, resulting in acute or persistent ischemia and hypoxia of the heart muscle, and cardiac cell death. Several pro-inflammatory cytokines, including interleukin-1β (IL-1β) and tumor necrosis factor-α (TNF-α), are involved in myocardial remodeling 3. SR9011 is a REV-ERBα/β agonist, a member of the nuclear receptor family, which has been found to regulate the metabolism of biological tissues. Huang Guodong found that SR9011 plays an important role in regulating the rhythm of autophagy genes in zebrafish.

Fig. 1 The structure of SR9011.
Synthetic routes

Fig. 2 The synthetic step 1 of SR9011.
To a solution of N-(4-chlorobenzyl)- 1 -(5 -nitrothiophen-2-yl)methanamine (70 mg) in dichloroethane (1mL) at 0°C was added 2-naphthaldehyde (58 mg) followed by HOAc (0.1mL) and NaBH(OAc)3 (106 mg)o The reaction was allowed to come to room temperature with stinting overnight. The reaction mixture was diluted with EtOAc, and sat aq NaHCO3, and the layers were separated. The organic layer was washed with sat aq NaHCO3 (2x), brine (1x), dried (MgSO4), and concentrated to give tert-butyl 2-((4-chlorobenzyl)((5-nitrothiophen-2-yl)methyl)amino)acetone as a pale yellow oil. This crude residue was purified by chromatography on silica gel (EtOAc/hexanes) to afford the title compound which crystallized. Tert-buty] 3-(((4-chlorobenzyl)((5-nitrothiophen-2-yl)methylamino)methylpyrrolidine-1-carboxylate (35) The title compound was prepared following the same general protocol as described in compound 29 using tert-butyl 3-formylpyrrolidine-1-carboxylate. MS (ESI) 465.7 (M+) [1].

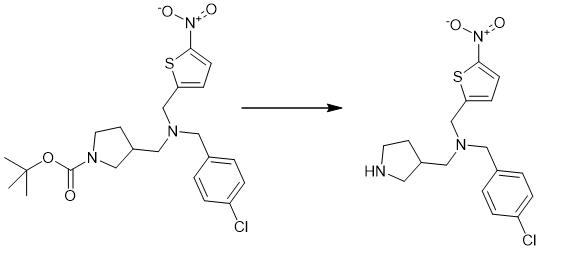
Fig. 3 The synthetic step 2 of SR9011.
To a mixture of tert-butyl 3-(((4-chlorobenzyl)((5-nitrothiophen-2- yl)methylamino)methylpyrrolidine-1-carboxylate, 6M HCl in MeOH was added. The reaction mixture was sthred at rt for overnight, After the reaction was completed, the solvent was removed in vacuo to obtain the the title compound. N-(4-chlorobenzyl)-1-(5-nitrothiophen-2-yl)-N-(pyrrolidin-3-ylmethyl)methanamine hydrochloride MS (ESI) 366 (M+H) [1].

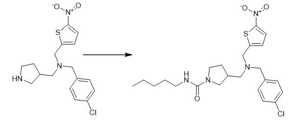
Fig. 4 The synthetic step 3 of SR9011.
To asolution of N-(4-chlorobenzyl)- 1 -(5-nitrothiophen-2-yl)-N-(pyrrolidin-3- ylmethyl)methanamine hydrochloride in CH2Cl2 , acetyl chloride (1.05 equiv), Et3N (2.5 equiv) were added. The reaction mixture was stirred at rt for 1 h. After The reaction was completed, the solvent was removed in vacuo to obtain the crude which was purified by flash chromatography to obtain the title compound. 3-(((4-chlorobenzyl)((5-nitrothiophen-2-yl)methyl)amino)methyl)-N-pentylpyrrolidine-1-carboxamide (103) The title compound was prepared following the same general protocol as described for compound 97 using n-pentyl isocyanate instead of acetyl chloride MS (ESI) 479 (M +H): 1H NMR (400 MHz, CDCl3): δ (ppm) 7,72 (d, J= 3.6 Hz, 1H), 7.28-7.24 (m, 4H), 6.85 (d, J= 4.0 Hz, 1H), 4.25 (t, J= 5.6 Hz, 1H). 3.73 (s, 2H), 3.58 (d, J= 1.2 Hz, 211), 3.51 (m, 1H) 3.25 (m, 2H), 3.16 (m, 2H), 2.95 (m, 1H), 2.43 (m, 3H), 2.01 (m, 1H), 1.62 (m, 1H), 1.47 (m, 2H), 1.29-1.21 (m, 4H), 0.85 (t, ,J= 7.2 Hz, 3H); 13C NMR (400 MHz, CDCl3): δ (ppm) 156.8, 153.6, 150.7, 136.6, 133.2, 130.0, 128.8, 128.7, 124.4, 58.1, 56.6, 53.6, 49.6, 44.6, 40.6, 36.8, 30.2, 29.7, 29.1, 22.4, 14.0 [1].
Detection method
SR9009 and SR9011 are metabolic modulators pharmacologically targeting REV-ERB receptors as synthetic agonists. A liquid chromatography-tandem mass spectrometry method for the detection of SR9009 and SR9011 in equine plasma was developed and validated. Plasma samples were pretreated by protein precipitation with methanol and were loaded onto an ACQUITY ultra performance liquid chromatography high-strength silica C18 column (2.1 x 150 mm, 1.8 mu m) for chromatographic separation. The mobile phase consisted of 5-mM ammonium formate (pH 3.0) in distilled water and 0.1% formic acid in acetonitrile, and a gradient elution was used at a flow rate of 0.25 ml/min. For the mass spectrometry detection, the selected reaction monitoring mode was used with transitions of 438.2 -> 124.9 for SR9009, 479.2 -> 125.1 for SR9011, and 292.2 -> 109.1 for the internal standard (testosterone-d3) in the positive ionization mode. The linearity, lower limit of quantification, intra- and inter-day precision, accuracy, matrix effect, recovery, and stability were evaluated. The method was found to be accurate and reproducible for the quantitation of SR9009 and SR9011. The developed method was successfully applied to plasma samples of thoroughbreds injected intramuscularly with SR9009 [2].
Application
In Vitro Metabolic Studies
SR9009 and SR9011 are attractive as performance-enhancing substances due to their REV-ERB agonist effects and thus circadian rhythm modulation activity. Although no pharmaceutical preparations are available yet, illicit use of SR9009 and SR9011 for doping purposes can be anticipated, especially since SR9009 is marketed in illicit products. Therefore, the aim was to identify potential diagnostic metabolites via in vitro metabolic studies to ensure effective (doping) control. The presence of SR9009 could be demonstrated in a black market product purchased over the Internet. Via human liver microsomal metabolic assays, eight metabolites were detected for SR9009 and fourteen metabolites for SR9011 by liquid chromatography-high resolution mass spectrometry (LC-HRMS). Structure elucidation was performed for all metabolites by LC-HRMS product ion scans in both positive and negative ionization mode. Retrospective data analysis was applied to 1511 doping control samples previously analyzed by a full-scan LC-HRMS screening method to verify the presence of SR9009, SR9011 and their metabolites. So far, the presence of neither the parent compound nor the metabolites could be detected in routine urine samples. However, to further discourage use of these potentially harmful compounds, incorporation of SR9009 and SR9011 into screening methods is highly recommended [3].
The Effect on the Immune Response and Cell Metabolism of Microglia
Microglia are the immune cells of the brain. Hyperactivation of microglia contributes to the pathology of metabolic and neuroinflammatory diseases. Evidence has emerged that links the circadian clock, cellular metabolism, and immune activity in microglia. Rev-erb nuclear receptors are known for their regulatory role in both the molecular clock and cell metabolism, and have recently been found to play an important role in neuroinflammation. The Rev-erb alpha agonist SR9011 disrupts circadian rhythm by altering intracellular clock machinery. However, the exact role of Rev-erb alpha in microglial immunometabolism remains to be elucidated. In the current study, we explored whether SR9011 also had such a detrimental impact on microglial immunometabolic functions. Primary micr
Related articles And Qustion
Lastest Price from SR9011 manufacturers

US $13100.00/kg2026-03-02
- CAS:
- 1379686-29-9
- Min. Order:
- 1kg
- Purity:
- 99.9
- Supply Ability:
- 9999

US $5.00/Box2025-04-21
- CAS:
- 1379686-29-9
- Min. Order:
- 1Box
- Purity:
- 99.99%
- Supply Ability:
- 20000 boxes



