Strontium: Major Minerals, Chemistry properties and Reactions
Major Minerals
Strontium commonly occurs in nature, being the 15th most abundant element on Earth (its heavier congener barium
being the 14th), at an average of approximately 360 ppm in the Earth’s crust and is found chiefly as the sulfate mineral
celestine (SrSO4)(Fig. 1) and the carbonate mineral strontianite (SrCO3).

Celestine is the sole mineral of industrial importance. It occurs mainly in sedimentary rocks, particularly dolomite, limestone,
and marl, either as primary precipitate from aqueous solution or, more usually, by the interaction of gypsum or anhydrite with
Sr-rich waters. Celestine is orthorhombic, 2/m2/m2/m (space group Pnma). It has a hardness of 3~3.5. It has perfect cleavage on
{001} and good on {210}, fracture is uneven, and tenacity is brittle. Parting on twin gliding and translation gliding planes. The
luster is adamantine to vitreous to pearly, while the transparency is transparent to translucent. The color is colorless, white, gray,
often faintly blue, or rarely light red. The streak is white. Optically it is biaxial (+). Crystals are usually blockier than those of barite (BaSO4). It is commonly tabular parallel to {001} or prismatic parallel to a or b with prominent development of {0kl} and
{h0l} prisms. Crystals elongated parallel to a are frequently terminated by nearly equally developed faces of d{101} and m{210}.
It also occurs as radiating fibrous, reniform, or granular masses.
The element strontium can be found in just over 100 different minerals. Ten different halides are known with Sr in
their structure, for example, bøggildite (Na2Sr2Al2PO4F9), jarlite (Na(Sr,Na)7MgAl6F32(OH,H2O)2), and strontiofluorite
(SrF2). The oxide class contains 11 minerals with Sr, for example, crichtonite (Sr(Mn,Y,U)Fe2(Ti,Fe,Cr,V)18(O,OH)38)
and tausonite (SrTiO3). A larger group of 17 minerals is found under the carbonates, such as putnisite
(SrCa4Cr31
8 (CO3)8)SO4((OH)16· 23H2O) (Fig. 2), strontianite (SrCO3) (Fig. 3) and welagonite (Na2Sr3Zr(CO3)6· 3H2O)
(Fig. 4). Five borate minerals are known with Sr, for example, tunellite (SrB6O9(OH)2· 3H2O) and veatchite (Sr2B11O16(OH)5· H2O). Only two sulfates contain Sr, celestine (SrSO4) and kalistrontite (K2Sr(SO4)2). Twentyfive minerals can be found in the phosphate class, for example, goyazite (SrAl3(PO4)(PO3OH)(OH)6) (Fig. 5), palermoite
((Li,Na)2(Sr,Ca)Al4(PO4)4(OH)4), and svanbergite (SrAl3(PO4)(SO4)(OH)6).
FIGURE 2. Putnisite, SrCa4Cr8 31(CO3)8SO4(OH)16· 23H2O, an extremely rare strontium-chromium carbonate found only in Australia. This specimen is very rich with three tiny rectangular purple crystals to about 0.75 mm and many other crystal “grains” throughout matrix.

FIGURE 3. One-centimeter groups of white strontianite, SrCO3, in radial bursts on white barite.

FIGURE 4. Weloganite, Na2Sr3Zr(CO3)6· 3H2O, stacked discoidal crystals in funnel-shaped clusters to 1.3 cm.

FIGURE 5. Crystals of white goyazite, SrAl3(PO4)(PO3OH)(OH)6, to 0.5 mm with yellowish herderite, CaBePO4(F,OH).

Chemistry properties
Strontium (Sr) is a soft silver-white yellowish metallic element. It is a member of alkaline earth elements (Group 2) and occupies an intermediate position between Ca and Ba. Its electron configuration is [Kr]5s2 and it easily loses two electrons from the 5s shell to form the Sr21 ion, which has a filled electron shell that is isoelectronic with the noble gas, krypton (Table 6.2). Along with other members of the heavier alkaline earth group [Ca, Sr, Ba, (Ra)], the chemical properties of Sr are dominated by its strong reducing power. It reacts readily with nonmetals even with nitrogen.

Reactions
The surface of strontium metal is silver-white when freshly cut but rapidly turn yellowish as it gets covered with a thin
layer of oxide that helps protect the metal from attack by air. This oxide protection, however, is less effective than the
corresponding layer in magnesium. Finely powdered strontium ignites spontaneously in air to give white strontium
oxide, SrO. Heating strontium in air at temperatures above 380℃ will also form strontium nitride, Sr3N2. As Sr is very
reactive and does not occur as the metal in nature, strontium oxide is more normally made by heating strontium carbonate, SrCO3. Strontium hydroxide, Sr(OH)2, is a caustic alkali. Since Sr(OH)2 is slightly soluble in cold water, its preparation can easily be performed through the addition of a strong base such as NaOH or KOH, drop by drop to a solution
of any soluble strontium salt, most commonly Sr(NO3)2. The Sr(OH)2 will precipitate as a fine white powder. From
here, the solution is filtered, and the Sr(OH)2 is washed with cold water and dried. Strontium reacts with hydrogen at
high temperatures to form strontium hydride, SrH2.

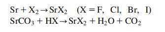
Strontium burns with the halogens fluorine (F2), chlorine (Cl2), bromine (Br2), and iodine (I2) to form the halide salts,
SrX2 (X5Cl, Br, I). Bromine reacts at about 400℃ and iodine at a dull red heat. Since strontium is very reactive and
does not occur as the free metal, the halides of strontium are usually prepared from strontium salts. The common starting salt for the preparation of the halides is strontium carbonate (SrCO3). When SrCO3 is treated with hydrohalic acids
(HF, HCl, HBr, or HI), it forms the corresponding halide with release of CO2.

Strontium reacts slowly with water to form strontium hydroxide (Sr(OH)2) and hydrogen gas (H2). The reaction is quicker than that of calcium but slower than that of barium in accordance with the periodic trend of reactivity for Group 2.

Strontium metal dissolves readily in dilute or concentrated hydrochloric acid to form solutions containing the aquated
Sr21 ion together with hydrogen gas (H2).

Strontium metal also dissolves directly in liquid ammonia to give a dark blue solution. The Sr2+ ion is also capable of reacting with Lewis bases, especially those considered as hard donor atoms such as oxygen, nitrogen, or fluorine.





