Synthesis of Carbazole
Carbazole is a tricyclic heterocycle with a 14π electron ring system, comprised of two benzene rings fused at 2,3 and 4,5 sites of a pyrrole ring. In other words, carbazole is a benzo[b]indole in which the benzene ring is fused with the 2,3-position of the indole ring. The chemistry of carbazole is very similar to indole and is less basic than indole and pyrrole. The pKa of carbazole is 19.9, while for indole and pyrrole it is 20.95 and 23.05, respectively. The presence of electron-withdrawing substituents such as the nitro group in the aryl rings of carbazole increases the acidity of the carbazoles.

Property
The chemistry of carbazole was first reported by Graeble and Glazer220 in 1872 after isolation from the anthracene distillate of coal tar. Almost 90 years later the antimicrobial property of this molecule was recognized from a natural product, 3-formyl-1-methoxycarbazole, isolated from the plant Murraya koenigii Spreng.Based on single crystal X-ray diffraction the various C-C, C-N, and C-H bond lengths are depicted on the carbazole structure. The crystal structure revealed that there is no intermolecular hydrogen bonding between N-H and N of the two molecules either in solid or liquid state.
The naturally occurring carbazoles have high commercial impact because their various derivatives are of pharmaceutical importance. Caprofen, a carbazole derivative, has been used in the treatment of arthritis in humans and animals. 9-Hydroxy-2-methylellipticinium acetate is known for the treatment of breast, kidney, and thyroid cancer, while carvedilol has been used in the treatment of hypertension.
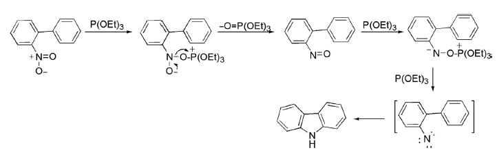
Synthesis
Reductive cyclization of 2-nitrobiphenyl with triethylphosphite at reflux temperature gave parent carbazole225 through insertion of nitrene formed in situ.

O-Azidobiphenyls are used as a substrate for the fabrication of carbazoles226 through insertion of nitrene either by pyrolysis or photolysis.

Oxidative cyclization of diphenylamine in the presence of palladium acetate in acetic acid at 110°C delivered parent carbazole.

Related articles And Qustion
Lastest Price from Carbazole manufacturers
US $1.00/KG2025-04-21
- CAS:
- 86-74-8
- Min. Order:
- 1KG
- Purity:
- 99%
- Supply Ability:
- 10 mt

US $0.00/Kg/Bag2025-04-21
- CAS:
- 86-74-8
- Min. Order:
- 1ASSAYS
- Purity:
- 99%
- Supply Ability:
- 300mt/year




