Synthesis, Properties, Chemical Reactivities of 2-Imidazoline
4,5-Dihydroimidazoles are the most common imidazoline because this ring system is present in many natural products and pharmaceuticals. Imidazolines are useful ligands for coordination chemistry and homogeneous catalysis. Some of the natural and synthetic biologically active compounds are mentioned in the following diagram.

Physical Properties
Imidazolines without a substituent at N1 displayed greater solubility in polar solvents than the 1-alkyl/arylsubstituted analogs. 2-Alkyl-2-imidazoline is highly soluble in water, alcohol, acetone, and chloroform compared to its 1-alkyl-2-imidazoline analog. However, its solubility in benzene, petroleum ether, and carbon tetrachloride is comparatively quite low. The solubility of 2-substituted-2-imidazolines in polar solvents decreases with an increase in length of the alkyl substituent at position 2. The presence of substituents like hydroxyl, amino, and sulfonic groups to the 2-imidazoline increases their solubility in water. An increase in molecular mass of 2-imidazolines displays a decrease in solubility in polar solvents and an increase in nonpolar solvents. Imidazolines with substituents at position 2 are generally a solid or heavy viscous liquid possibly due to hydrogen bonding, while with N1 substituents they are frequently liquid. Imidazolines are thermally stable in organic nitrogenous bases, easily form quaternary salts, and are solids. Cations derived from the quaternary salts are easily adsorbed onto the negatively charged surface of metals, fibers, plastics, and glass.
Synthesis
There are numerous efficient methods to prepare 2-imidazoline using ethylenediamine and aliphatic or aromatic aldehydes as precursors, using different oxidizing agents.
Imidazoline has been prepared efficiently by the reaction of an aldehyde and ethylenediamine in the presence of t-butylhypochlorite, hydrogen peroxide, iodine/K2 CO3, and pyridinium hydrobromide perbromide as depicted in the following reaction scheme.

A new approach for the synthesis of chiral 2-imidazoline has been reported from the reaction of an olefin, amine, and N-bromosuccinimide followed by nitrile in good yields.

One-pot synthesis of 2-imidazoline has been reported from the reaction of olefins, amine, dimethylcyanamide, and N-bromosuccinimide.

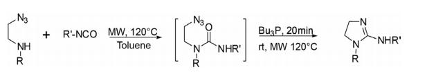
A novel route for the construction of 2-imidazoline has been developed through intermolecular microwave-assisted cyclization of an in situ-generated urea derivative as an intermediate from the reaction of 2-azido-N-alkylethanamine and isocyanates followed by reaction with tributylphosphine at 120°C.

The most commonly used protocol for the synthesis of 2-imidazoline involves the condensation of ethylenediamine with nitriles or ester.

Chemical Reactivity
2-Imidazolines are referred as cyclic amidines and form hydrochloride. Imidazoline also forms a complex with organic acids, which on treatment with strong bases liberates imidazoline. They are good ligands for complexation reaction with copper, nickel, cobalt, and silver.
Imidazoline on heating with alkyl halide without solvent forms quaternary salts in 46%–96% yields. However, 2-methyl-2-imidazoline on treatment with alkyl halide forms a mixture of 1-alkyl-2-methylimidazoline and 1,3-dialkyl-2-dimethylimidazolium salt. It was found that quaternization of 1-alkyl-2-methylimidazoline is faster than 1H-2-methyl-2-imidazoline.

Ring-Opening Reactions
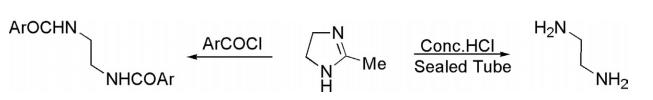
Acid and base hydrolysis of imidazoline to ethylenediamine is known. Thus heating imidazoline with concentrated hydrochloric acid in a sealed tube or refluxing with 30% aqueous KOH yielded ethylenediamine. However, ring opening of imidazoline has also been observed in the presence of aroyl chloride and sulfonyl chloride separately to deliver diaroylethylenediamine.

1-Aryl-2-imidazoline on treatment with NaCNBH3 in ethanol at room temperature yielded asymmetric N,N′- disubstituted ethylenediamine.

Acetylation
2-Benzylimidazoline was treated with an excess of acetic anhydride, a shift in the double bond occurred with formation of 1,3-diacetyl-2-benzylideneimidazolidine.

Dehydrogenation
2-Imidazolines either substituted or unsubstituted at position 1 are dehydrogenated to the corresponding imidazoles using nickel-petroleum paste, Pd, or Pt as metal catalyst.



