Synthesis, Properties, Chemical Reactivity of 1,3-Dithiole
1,3-Dithiole is a five-membered, unsaturated, sulfur heterocycle with three carbon atoms and two sulfur atoms at 1,3-positions. 1,3-Dithiolylium cations generated by abstraction of a hydride ion possess a 6π electron aromatic ring system represented by various resonating structures, 1a–e, which provide stability to the molecule.

1,3-Dithiole compounds include 1,3-dithiolylium cations 1, mesoionic 1,3-dithiol-2-ones/thiones 2a,b, 1,3-dithioles 3, and tetrathiafulvalene (TTF) 4. 1,3-Dithiolylium cations are found to be very useful synthetic intermediates for the construction of various heterocycles with electron-conducting properties.

Based on LCAO-MO calculations for 1,3-dithiol-2-thiones, 1,3-dithiol-2-ones, benzo-1,3-dithiolium ions, and 1,3-dithiolium ions indicated that electron density at the C2 carbon is lowest and the bond order between C4-C5 corresponds to the isolated double bond.
Physical Properties
UV (ethanol) λnm (ε) (perchlorate): 212 (3.53), 242 (3.80), 254 (3.58), 264 (3.55).
1 H NMR (CD3 CN), δ (ppm): C2 –H, 11.65; C4 –H, 9.67; C5 –H, 9.67.
13C NMR (TFA-d), δ (ppm): C3 , 179.5; C4 , 146.2; C5 , 146.2.
Synthesis
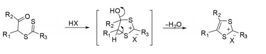
Acid-catalyzed cyclization of S-(oxoalkyl)dithiocarboxylates with 70% perchloric acid or sulfuric acid followed by dehydration yielded 1,3-dithiolylium salts.

S-(2-Carboxyalkyl)trithiocarbonates have been cyclized to 4-hydroxy-2-methylsulfanyl-1,3-dithiolylium perchlorates in the presence of 70% perchloric acid, which tautomerized to corresponding 1,3-dithiolylium-4-olates. However, cyclization of S-(2-carboxyalkyl)dithiocarbamate with a mixture of acetic anhydride and triethylamine in the presence of carbon disulfide gave mesoionic 2-amino-1,3-dithiolylium-4-thiolates.

Cyclization of S-(1-cyanoalkyl)dithiocarboxylates with HNO3 , sulfuric acid, or acyl chloride in benzene afforded 4-amino- and 4-acylamino-1,3-dithiolylium salts, which on treatment with a weak base produced a free base. In the presence of a strong base, the acyl group is hydrolyzed to 4-amino-1,3-dithiolylium salt.

Alkenyl or allyl N,N-dialkyldithiocarbamates on bromination resulted in a quantitative yield of the corresponding bromide intermediate, which on heating under reduced pressure in an inert atmosphere produced 4-alkyl-2- (dialkylamino)-1,3-dithioliumbromides with elimination of HBr.

1,3-Dithiolylium salts have been prepared by a general route from the reaction of α-haloketones and thioacids or O-alkyl thioesters in the presence of acetic acid with perchloric acid at 60–80°C.

Chemical Reactivity
The electrophilicity of 1,3-dithiolylium salt is greater than 1,2-dithiolylium anion because a positive charge is mainly delocalized on the S-C-S group, and position 2 of the former is highly prone to nucleophiles because of low electron density of this position.
2-Alkylsulfanyl-1,3-dithiolium salt on reaction with dialkylamine or alkylarylamine gave N,N-disubstituted 2-amino-1,3-dithiolium salts, whereas diphenylamine delivered 2-(4-phenylaminophenyl)-1,3-dithiolium salts. However, reaction with a tertiary amine such as dimethylaniline produced 2-(4-dimethylamino)phenyl-substituted- 1,3-dithiolium salts.

2-Alkyl/arylsulfanyl-1,3-ditholium salts, reacting with sodium azide, offered 2-alkyl/aryl-2-azido-1,3-dithioles, which on thermolysis gave N-substituted-2-imino-1,3-dithioles, which on treatment with HCl provided 2-amino-1,3- dithiolium salts.

4,5-Di(methylthio)-1,3-dithiolium tributylphosphonium salts reacting with 3-phenyl-substituted propargyl aldehyde gave 4,5-di(methylthio)-2-(3-phenylprop-2-yn-1-ylidene)-1,3-dithiole.

Benzo[d][1,3]dithiol-2-yltributylphosphonium salts on reaction with formaldehyde using K2CO3 as a base in MeCN gave 2-methylenebenzo[d][1,3]dithiole.

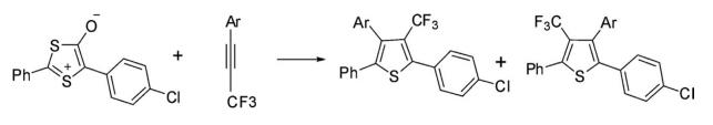
Cycloaddition of aryl trifluoromethyl alkynes to 1,3-dithiolium-4-olates afforded a mixture of 2,4,5-triaryl-3- trifluoromethyl- and 2,3,5-triaryl-4-trifluoromethylthiophenes.

1,3-Dithiolium cations on reaction with malononitrile in the presence of pyridine offered (1,3-dithiol-2-ylidene) dicyanomethanes.



