Synthesis, Properties, Reactivity of 1,2-Dithiole
1,2-Dithiole is a five-membered, unsaturated, planar, sulfur heterocycle with two adjacent sulfur atoms and three carbon atoms with one double bond between C3-C4 of the ring system. Almost all the 1,2-dithiole derivatives with a few exceptions are categorized either under dithiolylium cations or compounds in which C3 of the dithiole ring is linked to exocyclic bivalent electronegative heteroatoms (O,S) or groups such as 1,2-dithiole-3-one, 1,2-dithiole- 3-thione, and amide. These compounds are readily obtained and possess high stability. In 1,2-dithiolylium cations, each sulfur atom contributes a pair of 3p electrons to the sextet and thus possesses delocalized 6π electrons and obeys the Hückel (4n+2)π rule for aromaticity.
Physical Properties
The chemical reactivity of the 1,2-dithiolylium cation depends upon the charge distribution in the ground state. As per charge distribution on 1,2-dithiolylium cations, the C3 or C5 site is least electron dense and prone to preferential nucleophilic and free radical attack, but is quite resistant to electrophiles. Based on X-ray studies of 1,2-dithiolylium cations the bond lengths are S-S 2.00–2.03 Å, C-S 1.67–1.714 Å, and C-C 1.37–1.40 Å and are shorter than the normal single bond possibly due to π-orbital delocalization of ring atoms, which also reflects the stability of the molecule. However, these physical constants are dependent on substitution.
UV (ethanol) λnm: 202, 285.
1 H NMR (TFA-d), δ (ppm): C3 –H, 10.57; C4 –H, 8.87; C5 –H, 10.57.
13C NMR (TFA-d), δ (ppm): C3 , 176.72; C4 , 142.68; C5 , 176.72.
Chemical Reactivity
Nucleophilic substitution on C3 or C5 is highly facile because of low electron density on both the positions and is susceptible to ring opening in the presence of a base.

1,2-Dithiolylium cation on reaction with sodium ethoxide gave a ring-opened compound.

3-Halo-1,2-dithiolylium cation reacting with H2 S is transformed to a respective mercapto compound, 1,2-dithiolylium- 3-thione, with elimination of HCl.

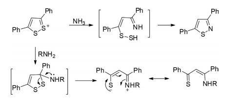
3,5-Diphenyl-1,2-dithiolylium cation on reaction with ammonia causes ring opening as the initial step with subsequent cyclization to yield isothiazole in 50% yields. However, on reaction with a primary amine the ring-opened compound was isolated in lieu of isothiazole.

Among known 1,2-dithioles, 1,2-dithiole-3-thiones are the largest class of compounds, which after alkylation transformed to the 1,2-dithiolylium cation. The various resonating structures for the 1,2-dithiolylium cation and dipolar 3H-1,2-dithiole-3-thione and 3-alkylthio-1,2-dithiolylium cations are depicted in the following scheme.

Synthesis of 1,2-Dithiolylium Cation
Hexachloropropene on heating with sulfur at 160°C offered 3,4,5-trichloro-1,2-dithiolylium chloride salt in 65% yields.

A reaction of 1,3-diketone with H2S2 in hydrochloric acid-saturated ether afforded 3,5-disubstituted 1,2-dithiolylium salt.

Sulfurization of 3-morpholino-1-phenylthioxopropan-1-one with P2S5 gave 3-morpholino-5-phenyl-1,2- dithiolylium chloride.

3,3-Bis(methylsufanyl)alk-2-en-1-ones on treatment with P2S5 in carbon disulfide with subsequent addition of perchloric acid afforded 3-methylsulfanyl-1,2-dithiolylium perchlorate.

α,β-Unsaturated β-aminoketones on thionation with P2S5 are transformed to thioketone, which on subsequent treatment with perchloric acid afforded 1,2-dithiolylium perchlorate.

Oxidation of diethyl propanedithiolate by iodine in ether gave 3,5-bis(ethylsulfanyl)-1,2-dithiolylium salt in 69% yields.



