Synthetic Method and Application of 2,6-Dioxopiperidine-3-ammonium chloride
2,6-Dioxopiperidine-3-ammonium chloride is a piperidine hydrochloride salt, appearing as a white solid powder under ambient temperature and pressure. It exhibits moderate solubility in water and good chemical stability but is insoluble in diethyl ether. In the pharmaceutical industry, 2,6-Dioxopiperidine-3-ammonium chloride is primarily used in the synthesis of the drug molecule lenalidomide. Lenalidomide, developed by the American biopharmaceutical company Celgene, is an anticancer agent with multiple mechanisms of action, including antitumor, immunomodulatory, and anti‑angiogenic activities.
Background Introduction
2,6-Dioxopiperidine-3-ammonium chloride is primarily used in the pharmaceutical industry for the synthesis of the drug molecule lenalidomide. Lenalidomide (chemical name: 3‑(4‑amino‑1,3‑dihydro‑1‑oxo‑2H‑isoindol‑2‑yl)‑2,6‑piperidinedione) is a novel immunomodulatory agent developed by the American company Celgene. It exerts immunomodulatory effects by activating T cells to produce interleukin‑2 (IL‑2) and enhancing the activity of natural killer (NK) cells. Additionally, lenalidomide can induce apoptosis in myeloma cells, inhibit cytokine‑ and bone‑marrow‑stromal‑cell‑mediated drug resistance in tumor cells, and exhibits anti‑angiogenic properties.
Synthetic Method
Method 1

Figure1: Synthesis of 2,6-Dioxopiperidine-3-ammonium chloride
The acid derivative (2.81 g, 0.01 mol) and urea (1.20 g, 0.20 mol) were dissolved in 30 mL of DMF, and the resulting solution was refluxed for 2 hours. After completion of the reaction, the mixture was allowed to cool to room temperature, followed by the slow addition of 5 mL of 4 N hydrochloric acid. The system was stirred for an additional 30 minutes, and then the reaction mixture was filtered. The collected solid was washed with 10 mL of ethyl acetate, and the residue was subsequently dried under vacuum to afford the final product 2,6-Dioxopiperidine-3-ammonium chloride. [1]
Method 2
Researchers have reported a method for preparing 2,6-Dioxopiperidine-3-ammonium chloride, which comprises the following steps: (1) protecting L‑glutamine under alkaline conditions to give N‑Boc‑L‑glutamine; (2) cyclizing the N‑Boc‑L‑glutamine obtained in step (1) under anhydrous conditions using N,N'‑carbonyldiimidazole catalyzed by 4‑dimethylaminopyridine, yielding N‑Boc‑3‑amino‑2,6‑piperidinedione; (3) deprotecting the N‑Boc‑3‑amino‑2,6‑piperidinedione from step (2) in an acidic medium and converting it into the hydrochloride salt to afford 3‑amino‑2,6‑piperidinedione hydrochloride. Through these three steps—protection, cyclization, deprotection, and salt formation—the target compound 2,6-Dioxopiperidine-3-ammonium chloride is obtained with high purity and consistent quality. The method described in this invention requires only three synthetic steps, features a straightforward route, mild reaction conditions, avoids high‑pressure hydrogenation, offers low cost, and is readily scalable for industrial production. [2]
Application
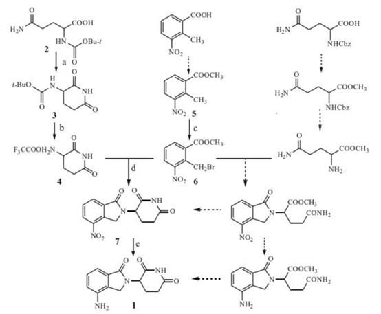
Synthetic Route of Lenalidomide

Figure2: Synthetic Route of Lenalidomide
Synthetic Method 1
Methyl 2‑methyl‑3‑nitrobenzoate (5) is brominated to give the intermediate methyl 2‑bromomethyl‑3‑nitrobenzoate (6). Subsequently, 2,6-Dioxopiperidine-3-ammonium chloride undergoes condensation with 6 followed by reduction to afford lenalidomide, with an overall yield of approximately 33%.[3]
Synthetic Method 2
Starting from 3‑nitro‑o‑xylene, selective oxidation yields 2‑methyl‑3‑nitrobenzoic acid, which is then esterified and brominated to produce methyl 2‑bromomethyl‑3‑nitrobenzoate. This intermediate then undergoes cyclization with 2,6-Dioxopiperidine-3-ammonium chloride, followed by nitro reduction to synthesize lenalidomide. [4]
Synthesis of Pomalidomide
Researchers have improved the synthetic method for the immunomodulator pomalidomide. The procedure uses 3‑nitrophthalic acid to prepare the intermediate 3‑aminophthalic acid, and employs N‑Boc‑L‑glutamine to obtain 2,6-Dioxopiperidine-3-ammonium chloride. These two intermediates are then combined in a one‑step condensation reaction to give the target product, pomalidomide. Results show an overall yield of 53.21% (based on 3‑nitrophthalic acid) and a purity of 99.4% (by HPLC). This synthetic approach offers advantages such as fewer reaction steps, simple operation, convenient work‑up, no wastewater pollution, and no heavy‑metal residues. Pomalidomide is a newly launched third‑generation immunomodulatory drug (IMiD) developed by Celgene in the United States. It is structurally derived from the first‑generation IMiD thalidomide and functions by enhancing T‑cell‑ and natural‑killer‑cell‑mediated immune responses, inhibiting pro‑inflammatory cytokine production in monocytes, and inducing tumor‑cell apoptosis. Consequently, it has garnered broad attention in the treatment of various malignancies and immune‑related diseases. [5]
References
[1] Yan, Jian ; et al, Discovery of Highly Potent CRBN Ligands and Insight into Their Binding Mode through Molecular Docking and Molecular Dynamics Simulations, ChemMedChem 2023, 18, e202200573.
[2] Han, F. J.; Jiang, B. J. A preparation method for 3-amino-2,6-piperidinedione hydrochloride: CN201710624685.0[P].
[3] Xu, X. K. Synthesis of the Antitumor Drug Lenalidomide and Green Synthetic Methods for Its Key Intermediates [D]. Hebei Medical University, 2017.
[4] Wu, H.; Tang, M.; Zhang, A. Y.; et al. Synthesis of Lenalidomide [J]. Chinese Journal of Pharmaceuticals, 2010, 41(03): 164-166.
[5] Huang, D. W.; Zhou, A. N.; Liu, Y.; et al. Process Improvement for the Synthesis of Pomalidomide [J]. Chinese Journal of Medicinal Chemistry, 2015, 25(3): 3.
You may like
Related articles And Qustion
Lastest Price from 2,6-Dioxopiperidine-3-ammonium chloride manufacturers

US $0.00/kg2026-03-03
- CAS:
- 24666-56-6
- Min. Order:
- 1kg
- Purity:
- 99%
- Supply Ability:
- 99999

US $0.00-0.00/kg2025-08-29
- CAS:
- 24666-56-6
- Min. Order:
- 1kg
- Purity:
- 99%
- Supply Ability:
- 1


