Synthetic method and application research of Palmitoyl tripeptide-5
Introduction
Palmitoyl tripeptide-5 is a fragment of Thrombospondin I (TSP-1) presenting the sequence, N-(1-oxohexadecyl)-L-lysyl-L-valyl-L-lysine (Figure 1). Palmitoyl tripeptide-5 is a commonly used skincare ingredient that is known for its impressive anti-aging effects. Comprising palmitic acid and tripeptide molecule, it effectively promotes collagen synthesis,enhances skin elasticity, reduces wrinkles, and improves skin texture.Regular use of palmitoyl tripeptide-5 has been shown to boost skin elasticity and minimize fine lines and wrinkles, resulting in a more youthful and healthy appearance. Moreover, it provides soothing and moisturizing effects, further enhancing skin texture and smoothness [1]

Synthetic method of Palmitoyl tripeptide-5
Two different liquid-phase methodologies were described for the synthesis of this tripeptide, designed to surpass some of the disadvantages associated with the solid-phase synthetic methodologies (high costs and pollution to the environment). [2]
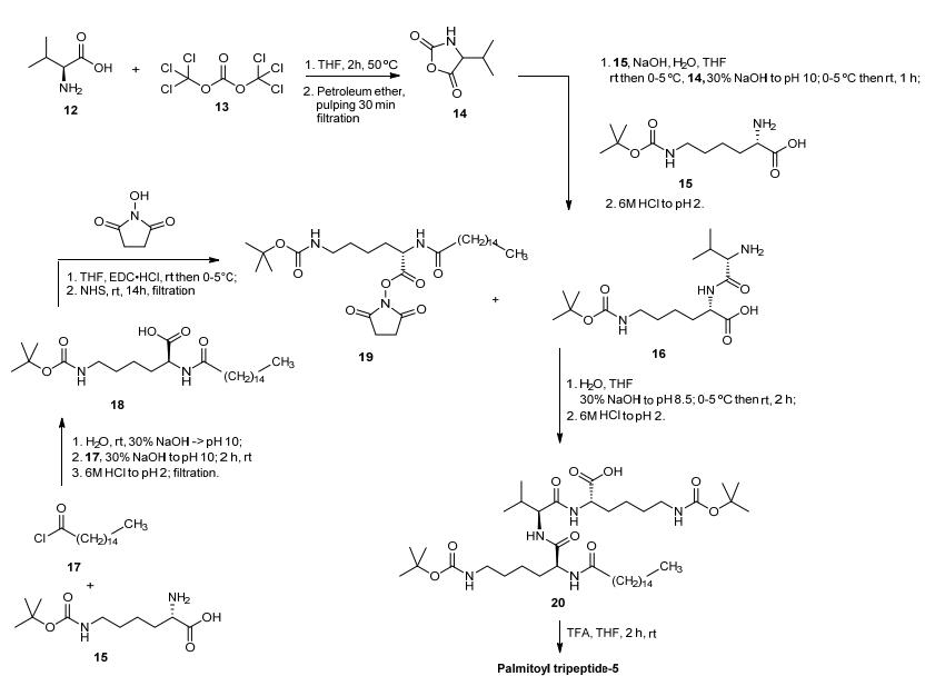
One methodology (Scheme 1)involves a convergent synthesis with the initial formation of a N-carboxyanhydride 14 by reaction of L-valine (12) with phosgene (13). Boc-L-lysine (15) is then coupled to the N-carboxyanhydride 14, forming Boc-protected dipeptide 16. In a convergent route, N-acylated aminoacid 18 is prepared from Boc-L-lysine (15) and palmitoyl chloride (17). EDC/NHS Activation of the carboxyl group of Pal-Lys(Boc)-OH (18) produces Pal-Lys(Boc)-OSu (19). Coupling of intermediates 16 and 19 and further Boc deprotection furnishes palmitoyl tripeptide-5.[3]

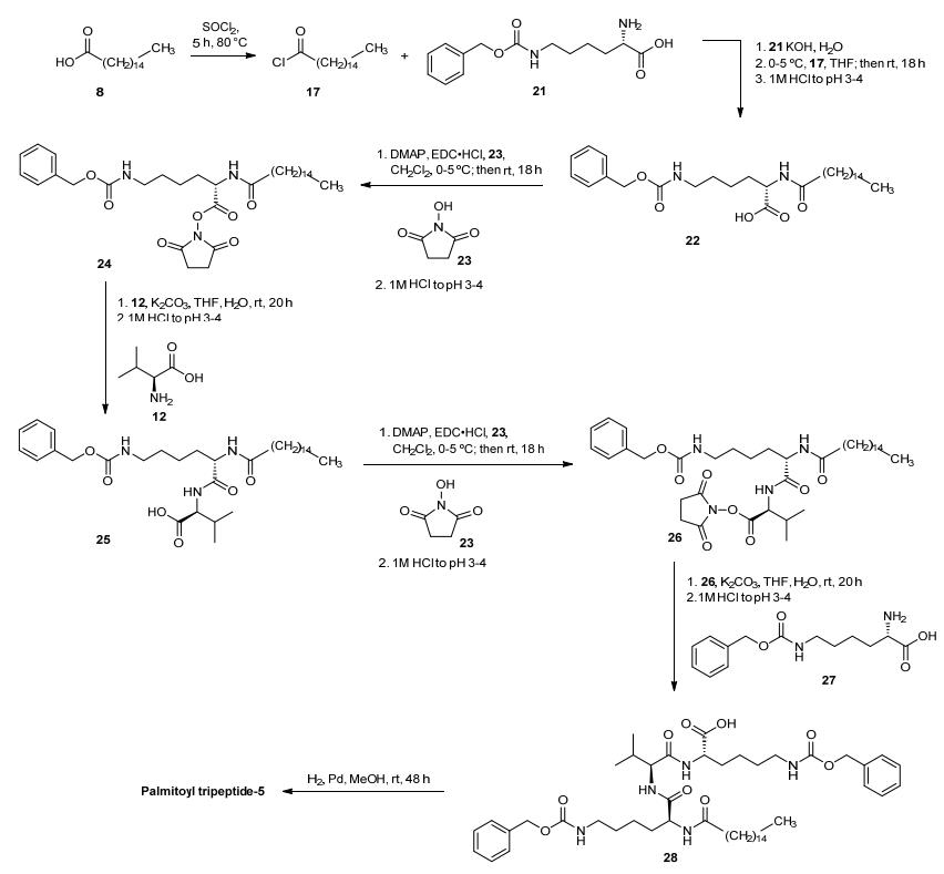
The other synthetic methodology reported for the preparation of palmitoyl tripeptide-5, although via a linear strategy (Scheme 2), is quite similar to the depicted in Scheme 1. Initial formation of palmitoyl chloride (17) from palmitic acid 8, followed by coupling with benzyloxycarbonyl (Cbz)-L-lysine 21 forms Pal-Lys(Cbz)-OH (22). Further activation of the carboxyl group of Pal-Lys(Cbz)-OH (22) with NHS (23) and coupling with L-valine (12), followed by a second activation of the carboxyl group of 25 with NHS (23) and couplingwith Cbz-L-lysine (27) furnishes Pal-Lys (Cbz)-Val-Lys(Cbz)-OH (28). Final deprotection of the Cbz groups allows to obtain palmitoyl tripeptide-5. [4]

Skin whitening efficacy and mechanism study of palmitoyl tripeptide-5
To evaluate skin whitening efficacy and mechanism of palmitoyl tripeptide-5, the cell viability was detected by MTT method, B16 guinea pig melanoma cell models treated by α-melanocyte stimulating hormone ( α-MSH) and hyperpigment of UVB-stimulated dorsal skin of guinea pigs were measured. Activity of tyrosinase, the mRNA expression of MITF and tyrosinase were investigated. Results show that palmitoyl tripeptide-5 exert a skin whitening efficacy by inhibiting melanin production via downregulation of MITF and tyrosinase expression, inhibiting activity of tyrosinase in melanocytes. Colorimetric analysis shows that the palmitoyl tripeptide-5 significantly inhibit the pigmentation and reduce the gray value in UVB-irradiated guinea pig dorsal skin area ( P<0. 05).[5]
Application research
Palmitoyl tripeptide-5 was used in a cosmetic ingredient mix from a raw material supplier, also containing spent grain wax and conjugated linoleic acid (CLA), for reducing skin redness in type I rosacea. This ingredient mix is currently unavailable. Palmitoyl tripeptide-5 is proposed to reduce metalloproteases (MMP's) expression and pro-inflammatory cytokine syntheses, causing vasodilation and capillary permeability.However, neither efficacy studies for the use of palmitoyl tripeptide-5 alone or in this mix in rosacea of sensitive skin are available. This peptide has also been used in patented cosmetic formulations for sensitive skin. Palmitoyl tripeptide-5 is also used in anti-aging cosmetic products, due to its ability to reduce MMP'S and promote the synthesis of type I and type II collagen from extracellular matrix, as well as for inhibiting melanin production by reducing tyrosinase activity.[2]
Example 1: Supramolecular and biocompatible hydrogels with a tunable pH ranging from 5.5 to 7.6 lead to a wide variety of formulations useful for many different topical applications compatible with the skin pH. An in vitro viability/cytotoxicity test of the gel components demonstrated that they are non-toxic, as the cells continue to proliferate after 48 h. An analysis of the mechanical properties demonstrates that the hydrogels have moderate strength and an excellent linear viscoelastic range with the absence of a proper breaking point, confirmed with thixotropy experiments. Two cosmetic active peptides (Trifluoroacetyl tripeptide-2 and Palmitoyl tripeptide-5) were successfully added to the hydrogels and their transdermal permeation was analysed with Franz diffusion cells. The liquid chromatography-mass spectrometry (HPLC-MS) analyses of the withdrawn samples from the receiving solutions showed that Trifluoroacetyl tripeptide-2 permeated in a considerable amount while almost no transdermal permeation of Palmitoyl tripeptide-5 was observed.[6]
Example 2: For active ingredients such as lactoferrin, recombinant human collagen, and palmitoyl tripeptide-5, nanoencapsulation facilitates more effective delivery to the skin,enhancing skin elasticity, reducing wrinkles, maintaining moisture balance, and brightening skin tone. Collagen-based skincare products can replenish collagen in the skin; however, collagen cannot easily penetrate the dermis, limiting its effectiveness. Therefore, nanomaterials that can enable collagen to effectively penetrate the dermis are urgently needed. This study aimed to determine the potential role of the supramolecular collagen nanoparticles, namely, lactoferrin, recombinant human collagen, and palmitoyl tripeptide-5, in improving the effectiveness of skincare products. Lactoferrin and recombinant collagen served as carriers encapsulating palmitoyl tripeptide-5, with an encapsulation rate of 94.18 %. The supramolecular collagen nanoparticles demonstrated good stability after 1 month. Transdermal efficiency was improved by 69.90 %, allowing the nanoparticles to penetrate deeply into the dermis. Within 28 days of use, the moisture content of the stratum corneum increased by 10.51 %, facial elasticity improved by 8.15 %, skin firmness increased by 12.53 %, facial melanin index decreased by 1.84 %, and individual type angle increased by 19.10 %. Within 14 days, there was a24.69 % reduction in eye bag wrinkles and a 37.61 % reduction in nasolabial wrinkles. Wrinkle lengths decreased by 10.22 % and 21.57 %, and areas decreased by 34.41 % and 27.92 %, respectively. The supramolecular collagen nanoparticles displayed multiple skincare benefits, including moisturizing, whitening, wrinkle reduction, and firming. In conclusion, the supramolecular collagen nanoparticles are promising candidates for cosmetic products.[7]
References
[1]Chen W, Xiang N, Huang J, et al. Supramolecular collagen nanoparticles for anti-wrinkle, skin whitening, and moisturizing effects. Colloids Surf B Biointerfaces. 2025;245:114275. doi:10.1016/j.colsurfb.2024.114275
[2]Resende DISP, Ferreira MS, Sousa-Lobo JM, Sousa E, Almeida IF. Usage of Synthetic Peptides in Cosmetics for Sensitive Skin. Pharmaceuticals (Basel). 2021;14(8):702. Published 2021 Jul 21. doi:10.3390/ph14080702
[3]Yu G, Li J, Lin Z, Bian F, et al. Liquid Phase Synthesis Method of Palmitoyl Tripeptide-5. CN111004306A, 25September 2020.51.
[4]Tao Y, Chen J, Wang X. Method for Efficiently Preparing Palmitoyl Tripeptide-5 Based on Activated Ester. CN110423264A, 1December 2020.
[5]GAO Yq, TANG J, et al. Skin whitening efficacy and mechanism study of palmitoyl tripeptide- 5[J].China Surfactant Detergent & Cosmetics,2018,48(03):166-171.DOI:10.13218/j.cnki.csdc.2018.03.009.
[6]Shariati Pour SR, Oddis S, Barbalinardo M, et al. Delivery of Active Peptides by Self-Healing, Biocompatible and Supramolecular Hydrogels. Molecules. 2023;28(6):2528. Published 2023 Mar 10. doi:10.3390/molecules28062528
[7]Chen W, Xiang N, Huang J, et al. Supramolecular collagen nanoparticles for anti-wrinkle, skin whitening, and moisturizing effects. Colloids Surf B Biointerfaces. 2025;245:114275. doi:10.1016/j.colsurfb.2024.114275
Related articles And Qustion
Lastest Price from Palmitoyl Tripeptide-5 manufacturers

US $0.00-0.00/Box2025-06-10
- CAS:
- 623172-56-5
- Min. Order:
- 1Box
- Purity:
- 99.99%
- Supply Ability:
- 10 Boxes

US $0.00-0.00/kg2025-06-10
- CAS:
- 623172-56-5
- Min. Order:
- 0.000009999999747378752kg
- Purity:
- 99%
- Supply Ability:
- 200000000T



