The synthesis method of 3-Amino-2-chloro-4-methylpyridine
Description
3-Amino-2-chloro-4-methylpyridine(CAPIC) is an organic compound with the chemical formula C6H7ClN2. It is a key intermediate in the production of nevirapine which is a non-nucleosidic reverse transcriptase inhibitor. This inhibitor has been established to be clinically useful for the treatment of infection by HIV-1.
Synthesis method
There are many ways to synthesize CAPIC. It was probably first synthesized in 1980 by Chapman et al. 2-chloro-4-methyl-3-nitropyridine was used as a raw material.
In 1995, Grozinger et al. reported that this compound could be synthesized in small laboratory batches by nitrating the readily available 2-amino-4-picoline or 2-hydroxy-4-picoline. However, this procedure suffers from non-selective nitration at positions 3 and 5, as well as thermo-chemical hazards and the potential for “run-away” when carried out in large quantities.
Zhang et al. also reported a method for synthesizing 3-Amino-2-chloro-4-methylpyridine which comprised the steps of chlorination of ethyl cyanoacetate, Michael addition with crotonaldehyde, cyclization, conversion to the amide, and finally reduction to the amine. But the Michael addition was slow and the cyclization low-yielding.
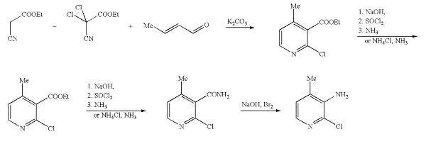
In 2002, Gupton et al. reported a new method. The first step is a Knovenagel condensation and the product is a mixture of 4,4-dicyano-3-methyl-3-butenal dimethyl acetal and 1,1-dicyano-4-methoxy-2-methyl-1,3-butadiene. After the reaction is completed, 3-cyano-4-methyl-2-pyridone is obtained by treatment with strong acid and water. Then use a strong chlorinating agent to treat the solution, such as SOCl2, POCl3, and PCl. Add strong acid and water to yield 2-chloro-3-amido-4-methylpyridine. Finally, Strong Base and Halide are added to obtain 3-Amino-2-chloro-4-methylpyridine.
References
[1] Gupton B, et al. Process for making 3-amino-2-chloro-4-methylpyridine. 2002.
You may like
Related articles And Qustion
See also
Lastest Price from 3-Amino-2-chloro-4-methylpyridine manufacturers

US $0.00/Kg/Drum2025-04-21
- CAS:
- 133627-45-9
- Min. Order:
- 1KG
- Purity:
- 98%min
- Supply Ability:
- 1000kg

US $0.00-0.00/kg2025-04-04
- CAS:
- 133627-45-9
- Min. Order:
- 1kg
- Purity:
- 98%
- Supply Ability:
- 1Ton



