The synthesis methods of Cytidine
Description
Cytidine, a kind of nucleoside, is formed by connecting the N-1 position of cytosine to the C-1 position of d-ribose via a β-glycosidic bond. This substance is an essential component of nucleic acid in an organism. It exists mainly in the form of cytidylic acids, such as cytidine monophosphate (CMP), cytidine diphosphate (CDP), and cytidine triphosphate (CTP), which produces physiological effects in cells. Cytidine is widely used in developing antiviral and antitumor drugs and is the starting material used to produce cytarabine, ancitabine, zalcitabine, and other related drugs. Therefore, studying its synthesis is very valuable[1].
Synthesis methods
Case1: The method proposed by Nishimara et al. in 1964 uses silicon etherification-protected N4-acetylcytosine and 1-chlorotriphenylformylribose to react under heated reflux conditions to generate mixed configuration cytidine and then use Recrystallization and column chromatography separated the two isomers. However, since 1-chlorotriphenylformylribose is not easy to obtain and there are two configuration mixtures, the product also has two isomers.
Case2: Zemlicka et al. used uridine as raw material and heated and refluxed it at 150°C in the presence of hexamethyldisilazane (HMDS) and trimethylchlorosilane to silicon etherify the uridine. The mixture can be refluxed at high temperatures in the presence of pyrrolidine to obtain cyclobutylcytidine, which can be treated in ammonia methanol to obtain cytidine. However, this method is complex, and the yield is not ideal. The synthesis route is as follows:

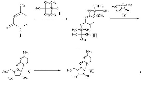
Case 3: In response to the above problems in 2012, Zhang et al. developed a method for synthesizing cytosine nucleoside. Cytosine was first silanized and protected by tert-butyldimethylsilyl chloride and then reacted with tetraacetyl ribose. The reactant is then ammonolyzed to obtain crude cytosine nucleoside, and then ethanol is added to the crude cytosine nucleoside for purification. The mixture is heated under stirring and refluxed to dissolve, then water is added, cooled, and then crystallized. The solid is obtained by separation and dried to obtain cytosine nucleoside[2].

References
[1] Fan Leng and Pengpeng Yang. “Solubility, Crystallization, and Characterization of Cytidine Sulfate.” ACS Omega 8 28 (2023): 25288–25294.
[2] Zhang J et al."Preparation method for cytidine" (2012)
You may like
Related articles And Qustion
See also
Lastest Price from Cytidine manufacturers

US $0.00/kg2025-11-19
- CAS:
- 65-46-3
- Min. Order:
- 1kg
- Purity:
- 98%
- Supply Ability:
- Customise

US $0.00/Kg/Drum2025-04-21
- CAS:
- 65-46-3
- Min. Order:
- 1KG
- Purity:
- 99%min HPLC
- Supply Ability:
- 1000KGS




