Ticagrelor: Indications, Synthesis and Pharmacodynamics
Introduction
Ticagrelor (TC), a non-thienopyridine class, is used as an oral antiplatelet agent. It is similar to adenosine due to the presence of cyclopentyl triazolopyrimidine, a structure that contains a triazole ring fused to a pyrimidine ring. It is considered as a nucleoside analog because of the side chains difluorophenyl cyclopropyl, propyl-thiol and hydroxyethoxy cyclopentane 1,2-diol [1-2]. TC was discovered by Astra Zeneca and approved for use by the US Food and Drug Administration (FDA) in 2011[3]. It gained a popularity over previously known thienopyridine agents such as clopidogrel and pasugrel because it is not a prodrug and due to the reversibility in blocking the adenosine diphosphate (ADP) receptors, thus allowing the platelets to totally restore their activity within 3 days after discontinuation of the therapy [4].

Indications
Ticagrelor is used for the prevention and treatment of thromboembolism in adult patients with acute coronary syndrome (ACS). It is available in the United States and other countries in the form of oral tablets . A dose regimen usually includes an initial loading dose of 180mg, followed by 90mg twice per day [5].
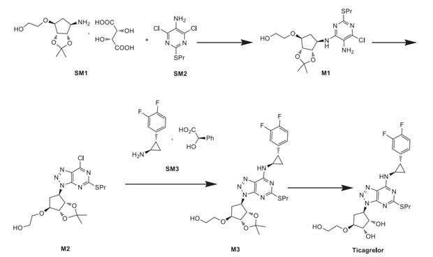
Synthesis method
The general synthetic scheme for TC is shown in Figure 1. Briefly, 100mg from a previously prepared acetonide intermediate M3 is added to 600mL of MeOH and the resulting solution is then added dropwise to 300mL of 4N HCl at ambient temperature with N2 purging. The obtained yield is left for 6h with stirring. In order to obtain solid particles, 160g of 15% NaOH solution is then added dropwise to the mixture with stirring at 20℃. Thereafter, the pH is adjusted to 7.0 by adding another 160g of 15% NaOH solution. The final product is purified several times with a methanol/water mixture and dried under vacuum [1].

Solubility and partition coefficient
Ticagrelor is a crystalline powder that exhibits a lower aqueous solubility of about 10mg/L over the whole pH range (Figure 2). It is known that TC has several polymorphs. According to the biopharmaceutical classification system (BCS), TC belongs to class IV which means low solubility in water and low permeability [6].
Pharmacodynamics [3]
Inhibition of platelet aggregation (IPA) stimulated by ADP is a commonly used pharmacodynamic parameter for P2Y12-receptor antagonists. In this section, we refer to final platelet aggregation observed at the end of platelet response (i.e., 6 min), rather than maximal extent of platelet aggregation. The IPA by ticagrelor has been examined in several populations. For example, in healthy volunteers, single doses of ticagrelor (100–400 mg) were associated with a rapid (2 hrs), dose-dependent, and near-complete inhibition of 20-lM ADP-induced platelet aggregation. In a multiple-dose study in healthy volunteers, IPA gradually decreased with declining plasma concentrations from ~12 hours after dosing, indicating that ticagrelor-associated IPA is concentration dependent and slowly reversible. Ticagrelor is only approved for twice/ day dosing because this strategy showed greater and more consistent IPA than once/day dosing (50–600 mg) . In another study of healthy volunteers, the effect of age and sex on the pharmacodynamics of ticagrelor was assessed. Elderly and younger volunteers of both sexes received a single dose of ticagrelor 200 mg. Notably, elderly subjects had higher ticagrelor exposure compared with younger subjects, and women had higher exposure than men. The maximal concentration was significantly increased by 61% in young women, 73% in elderly men, and 148% in elderly women compared with young men. Interestingly, the elderly subjects with the highest ticagrelor exposure also had the lowest IPA, suggesting that platelets are less sensitive in the elderly. Despite these differences, no adjustment in ticagrelor dose is recommended based on age or sex because IPA was substantial in all groups examined (higher than 90% at 4 and 8 hrs after dosing).
Conclusion
Inhibiting the P2Y12 platelet receptor has demonstrated an ability to reduce adverse CV outcomes significantly over the use of aspirin alone. Despite over a decade of use with clopidogrel, the agent has a number of limitations that need to be addressed. Ticagrelor is a P2Y12-receptor inhibitor that overcomes many of these limitations. The different chemical structure, which is not a prodrug, allows for rapid, potent, and consistent inhibition of platelet aggregation. Unlike prasugrel, ticagrelor offers advantages in being able to be used regardless of the management strategy (medical and invasive) of the ACS event.
References
[1] Kabil MF, Abo Dena AS, El-Sherbiny IM. Ticagrelor. Profiles Drug Subst Excip Relat Methodol. 2022;47:91-111.
[2] Dhillon S. Ticagrelor: a review of its use in adults with acute coronary syndromes. Am J Cardiovasc Drugs. 2015;15(1):51-68.
[3] Dobesh PP, Oestreich JH. Ticagrelor: pharmacokinetics, pharmacodynamics, clinical efficacy, and safety. Pharmacotherapy. 2014;34(10):1077-1090.
[4] Cheng JW. Ticagrelor: oral reversible P2Y(12) receptor antagonist for the management of acute coronary syndromes. Clin Ther. 2012;34(6):1209-1220.
[5] Wisher D. Martindale: the complete drug reference. 37th ed, J. Med. Libr. Assoc. 2012;100 (1): 75–76.
[6] Na YG, Byeon JJ, Wang M, et al. Strategic approach to developing a self-microemulsifying drug delivery system to enhance antiplatelet activity and bioavailability of ticagrelor. Int J Nanomedicine. 2019;14:1193-1212.
You may like
Related articles And Qustion
Lastest Price from TICAGRELOR manufacturers

US $100.00/KG2025-04-21
- CAS:
- 274693-27-5
- Min. Order:
- 1KG
- Purity:
- 99%min
- Supply Ability:
- 200TON

US $0.00/Kg/Bag2025-04-21
- CAS:
- 274693-27-5
- Min. Order:
- 2Kg/Bag
- Purity:
- 99% up, High Density
- Supply Ability:
- 20 tons





