Uses of Furan
Furan is a five-membered aromatic oxygen heterocycle, comprised of four conjugated carbon atoms and one oxygen atom in a cyclic system. Furan is a planar aromatic compound because one of the two lone pairs of electrons on the oxygen participates in the sextet and is delocalized over the five-membered ring, creating a 6π electron system responsible for its aromatic character. The other lone pair of electrons of oxygen occupies the sp2 hybrid orbital and remains flat in the plane of the ring.

Uses of Furan
Furan is used primarily as a precursor for the synthesis and production of various chemical entities useful for the development of pharmaceuticals. It is used as a starting material for the commercial production of THF, thiophene, and plastics. It is also used as a solvent for resins and a precursor for the synthesis of agrochemicals such as fungicides, nematocides, and insecticides. Some important furan-based drugs in clinical use are depicted in the following scheme.
Synthesis
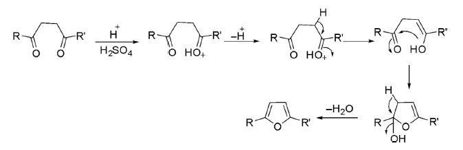
Paal-Knorr Synthesis
This is one of the important methods for the construction of furan through acid-catalyzed intramolecular cyclization of 1,4-diketones not sterically hindered.

From Carbohydrate
Furan is economically and commercially prepared from inexpensive starting materials aldopentose or ketopentose by acid-catalyzed dehydration that yielded α-ketoaldehyde as an intermediate, which intramolecularly cyclized to give furfural. Deformylation of furfural in the presence of copper in quinoline at 400°C furnished furan.






