Vitamin A: Properties, Production process and Uses
Properties of vitamin A
Vitamin A, also known as retinol, all-trans-retinol, all-trans-retinyl alcohol, transretinol and (all-E)-3,7-dimethyl-9-(2,6,6-trimethyl-1-cyclohexen-1-yl)-2,4,6,8-nonatetraen- 1-ol, is a derivative of β-ionone and acetylene.
Vitamin A is a yellow flaky crystal or crystalline powder with a melting point of 62–64°C and a boiling point of 137–138°C (10−6 mmHg). It is a lipid-soluble vitamin, which is soluble in most organic solvents such as alcohols, ethers, hydrocarbons and halogenated hydrocarbons but insoluble in water and glycerin. The physical properties of vitamin A and vitamin A acetate are summarized in Table 4.9.


There are four conjugated double bonds in the side chain of vitamin A; thus, 16 geometric isomers in theory are possible. Due to the steric hindrance effect, the only geometric isomers existing in nature are the unhindered all-E, 9Z-, 13Z-, 9Z-, 13Z- and hindered 11Z-vitamin A. Only the all-E isomer has full activity of vitamin A. Vitamin A is unstable. It is easily destroyed by acid, air, oxidizing substances, high temperature and ultraviolet radiation. Since vitamin A acetate is more stable than vitamin A alcohol, the commercial form of vitamin A is mainly vitamin A acetate. Usually, the commercial product called vitamin A on the market is actually the acetate of vitamin A.
Production processes of vitamin A
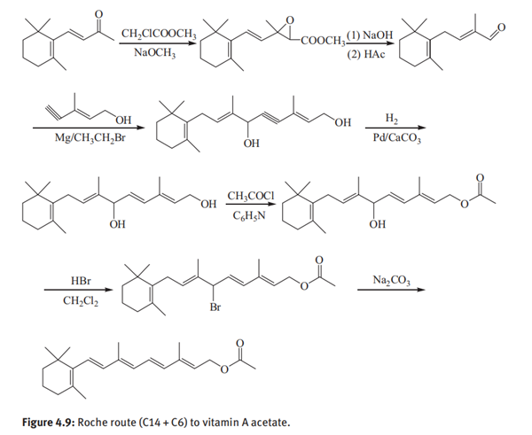
Roche synthesis process (C14 + C6 route)
In Roche synthesis process, β-ionone (C14) and 3-methyl-2-penten-4-yn-1-ol (C6 alcohol) are used as starting materials, so it is also called C14 + C6 route. Figure 4.9 shows the Roche route to vitamin A acetate. β-Ionone undergoes a Darzen's condensation with methyl chloroacetate to produce the C14 aldehyde. The side chain is constructed by a Grignard reaction with C6 alcohol, resulting in the generation of diol, which is partially hydrogenated and acylated to obtain a monoacetate. Elimination and isomerization of the monoacetate give vitamin A acetate.

BASF synthesis process (C15 + C5)
A typical feature of this process is C15 + C5 route involving a Witting reaction. The reaction process is shown in Figure 4.10. β-Ionone reacts with acetylene to form ethynyl-β-ionol, followed by partial hydrogenation to obtain vinyl-β-ionol. Alternatively, ethynyl-β-ionol could be obtained by direct reaction of β-ionone with a vinyl Grignard. The vinyl-β-ionol was transformed into a C15 phosphonium salt by reaction with triphenylphosphine and HCl. The resulting C15 phosphonium salt underwent a Witting reaction with C5 aldehyde in the presence of sodium methoxide catalyst to produce vitamin A acetate.

Rhône-Poulenc route (C15 + C5) to vitamin A acetate
Rhône-Poulenc developed another C15 + C5 route using sulfone as an intermediate. Figure 4.11 represents the reaction process for vitamin A acetate by Rhône-Poulenc synthesis (C15 + C5). Vinyl-β-ionol was obtained by ethynylation and partial hydrogenation of β-ionone in the same way as BASF route. Vinyl-β-ionol reacted with sodium benzene sulfinate to produce an allylic sulfone (C15). The sulfone underwent a Julia reaction with C5 chloroacetyl to generate a C20 sulfone, followed by an elimination reaction to produce vitamin A acetate.

Wittig–Horner route (C15 + C5) to vitamin A acetate
Zhejiang Medicine Co. Ltd. has developed the Wittig–Horner route to vitamin A acetate using a phosphonate as an intermediate. The reaction process is shown in Figure 4.12. The C14 aldehyde was prepared by that same method as Roche route, and reacted with tetraethyl methylene disphosphonate in strong alkaline environment to obtain a diethyl phosphonate of 3-methyl-5-(2,6,6-trimethyl-1-cyclohexene)-1,4-pentadiene (C15). Diethyl C15 phosphonate reacted with C5 aldehyde in a strongly alkaline environment to give vitamin A acetate.

Uses of vitamin A
Vitamin A is applied as a dietary supplement and an important medicine for the treatment of deficiency syndromes. It is not an endogenously generated vitamin; therefore, it is necessary to be supplied from dietary or vitamin supplement sources. The physiological function of vitamin A is to maintain the integrity of epithelial tissue and the permeability of cell membrane. It is very important to maintain normal vision. Moreover, it is also helpful for reproduction and lactation, and for promoting the growth and development of the human body and animals. In vitamin A-deficient human body and animals, epithelial changes such as keratinization, dry, scaly skin, changes in the epidermis of the respiratory tract and susceptibility to bacterial infections can occur. There will also be insufficient rhodopsin, weak adaptability to dark light, night blindness and conjunctivitis.
You may like
Related articles And Qustion
See also
Lastest Price from Vitamin A manufacturers

US $100.00/kg2026-03-02
- CAS:
- 68-26-8
- Min. Order:
- 1kg
- Purity:
- 99%
- Supply Ability:
- 9999

US $0.00/kg2025-12-24
- CAS:
- 68-26-8
- Min. Order:
- 0.1kg
- Purity:
- >98.5%
- Supply Ability:
- 500kg





