What are the uses of 1,4-Butanediol?
Description

1,4-Butanediol (BD) is a colourless, high-boiling liquid with a low odour of toxicity. It is completely soluble in water, most alcohol, esters, ketones, glycol ethers and acetates, but may be immiscible or partially miscible in common aliphatic and aromatic/ chlorinated hydrocarbons.1,4-butanediol is a versatile chemical intermediate because of its terminal, primary hydroxyl groups and its hydrophilic and chemical resistant nature. Polymers produced upon reaction with diacids or diisocyanates are the basis for many commercial polyurethane and polyester applications.
Applications
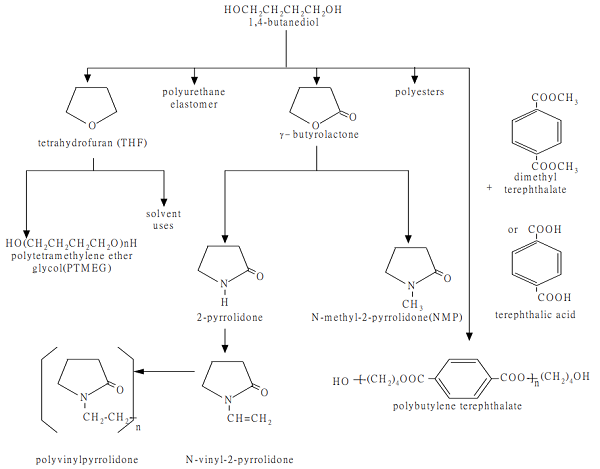
The following flowchart summarizes the major applications of 1,4-butanediol.

Tetrahydrofuran & PTMEG: Tetrahydrofuran is the largest use for 1,4-butanediol, and approximately 79% of THF consumption is for the production of polytetramethylene ether glycol(PTMEG), which in turn is used in the manufacture of cast and thermoplastic urethane elastomers, polyurethane fibres (spandex) and high-performance copolyester-ether elastomers. The remaining 21% of THF consumption is used as a solvent in the manufacture of polyvinyl chloride cement and coatings, in precision magnetic tape and as a reaction solvent in the production of pharmaceuticals.
Polyesters. In polyurethane applications,1,4-butanediol is primarily used as a component of polyesters or as a chain extender. For example, polyesters such as poly (butylene adipate) diols are formulated into urethane elastomers with excellent oil chemical and UV resistance. In addition, these materials have good mechanical properties over a broad temperature range and good flex and abrasion resistance.
γ-Butyrolactone (GBL). 1,4-Butanediol is used as raw material for the manufacture of GBL. About 65% of GBL consumption is for manufacturing N-methyl-2-pyrrolidone (NMP), used as a solvent in lube oil extraction, electronics applications, paint strippers, magnetic wire coatings and engineering resins. About 25% of GBL consumption is used in the manufacture of 2-pyrrolidone/N-vinyl-2-pyrrolidone/polyvinylpyrrolidone, which in turn is used in the production of copolymers in consumer and pharmaceutical applications, including cosmetics, hair sprays, germicides and tablet binders; in the paper, textile and agricultural industries; and miscellaneous applications, such as process aids in beverage clarification. The remaining 10% of GBL is consumed primarily as an agricultural solvent and for lithographic use in photography.
Pharmacology
BD has similar pharmacological effects to gamma-hydroxybutyric acid (GHB) partly because it is readily converted into GHB by the body's natural process. GHB is present in the central nervous system in very small concentrations; it is a metabolite of the neurotransmitter gamma-aminobutyric acid (GABA). Scientific data suggest that GHB can function as a neurotransmitter or neuromodulator in the brain. It produces dose-dependent depressant effects similar to those of barbiturates and methaqualone. Low doses of BD/GHB produce drowsiness, nausea, and visual distortion. At high doses, BD/GHB overdose can result in unconsciousness, seizures, slowed heart rate, severe respiratory depression, decreased body temperature, vomiting, nausea, coma, or death. Sustained use of BD/GHB can lead to addiction. Chronic abuse of BD/GHB produces a withdrawal syndrome characterized by insomnia, anxiety, tremors, marked autonomic activation (i.e., increased heart rate and blood pressure) and occasional psychotic thoughts. Currently, there is no antidote available for GHB overdose. Co-ingestion of alcohol with BD can increase the toxicity.
References:
[1] 1,4-Butanediol[J]. C&EN Global Enterprise, 1967, 45 40: 1-120. DOI:10.1021/cen-v045n040.obc.You may like
Related articles And Qustion
See also
Lastest Price from 1,4-Butanediol manufacturers

US $150.00-19.00/kg2026-03-27
- CAS:
- 110-63-4
- Min. Order:
- 1kg
- Purity:
- 99%pure
- Supply Ability:
- 20 tons

US $150.00-19.00/kg2026-03-27
- CAS:
- 110-63-4
- Min. Order:
- 1kg
- Purity:
- 99%pure
- Supply Ability:
- 20 tons





