What is Avanafil ?
Avanafil occurs as white crystalline powder, molecular formula C23H26ClN7O3 and molecular weight of 483.95 and is slightly soluble in ethanol, practically insoluble in water, soluble in 0.1 mol/L hydrochloric acid. STENDRA, for oral administration, is supplied as oval, pale yellow tablets containing 50 mg, 100 mg, or 200 mg avanafil debossed with dosage strengths.

Uses
Avanafil is used to treat erectile dysfunction (ED: impotence; inability to get or keep an erection in men). Avanafil is in a class of medications called phosphodiesterase (PDE) inhibitors. It works by increasing blood flow to the penis during sexual stimulation. This increased blood flow can cause an erection. Avanafil does not cure erectile dysfunction or increase sexual desire. Avanafil does not prevent pregnancy or the spread of sexually transmitted diseases such as human immunodeficiency virus (HIV).
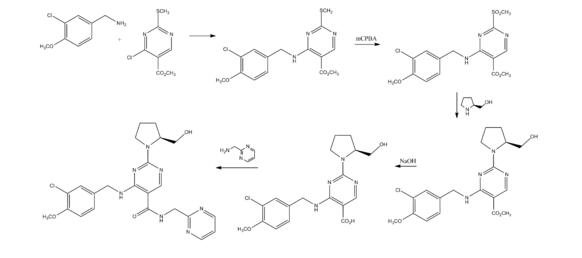
Synthesis
Avanafil can be synthesized from a benzylamine derivative and a pyrimidine derivative:

Side effects
Avanafil may cause side effects. Tell your doctor if any of these symptoms are severe or do not go away:
headache;
flushing;
back pain;
Some side effects can be serious. If you experience any of these symptoms, call your doctor immediately or get emergency medical treatment:
an erection that lasts longer than 4 hours;
sudden loss of vision in one or both eyes (see below for more information);
sudden hearing loss (see below for more information);
ringing in the ears;
dizziness;
rash;
itching;
swollen eyelids;
Avanafil may cause other side effects. Call your doctor if you have any unusual problems while taking this medication.
You may like
Related articles And Qustion
Lastest Price from Avanafil manufacturers

US $5.00/g2026-01-24
- CAS:
- 330784-47-9
- Min. Order:
- 100g
- Purity:
- 99%
- Supply Ability:
- 5000tons

US $0.00/kg2025-08-29
- CAS:
- 330784-47-9
- Min. Order:
- 1kg
- Purity:
- 99.0%
- Supply Ability:
- 500kg



