首页
个人中心
立即询价
询价清单
铜陵恒优生物科技有限公司
首页
产品目录
产品目录(简版)
企业认证
联系我们
全部产品
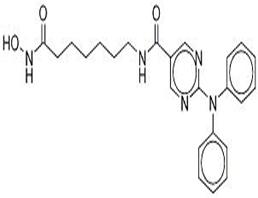
ACY-1215
TP808
ACY-1215
询价
更新时间:2019/12/04
TP808
询价
更新时间:2023/03/03
目录
ACY-1215 (1)
TP808 (1)
目录
MSDS
|
CAS
|
常用CAS
|
化工产品目录
|
新产品
联系我们
|
电脑版
Chemical Book