首页
个人中心
立即询价
询价清单
常州市帕姆若商贸有限公司
11
YR
企业会员
首页
产品目录
产品目录(简版)
公司动态
企业认证
公司相册
联系我们
全部产品
医药中间体
4-溴苯甲酸
¥6250 元
更新时间:2025/10/15
4-溴苄醇
询价
更新时间:2025/10/15
2-[4-[4-[4-(羟基二苯甲基)-1-哌啶基]-1-氧代丁基]苯基]-2,2-二甲基乙酸甲酯
询价
更新时间:2025/10/15
4-氯溴苯
询价
更新时间:2025/10/15
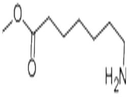
7-氨基庚酸甲酯
询价
更新时间:2025/10/15
4-甲硫基苯乙腈
¥300 元
更新时间:2025/10/15
目录
医药中间体 (5)
苯环 (4)
目录
MSDS
|
CAS
|
常用CAS
|
化工产品目录
|
新产品
联系我们
|
电脑版
Chemical Book