7YR企业会员
甲烷磺酸
询价
更新时间:2026/01/29
甲烷磺酸
询价
更新时间:2026/01/29
聚酰亚胺
询价
更新时间:2026/01/29
次石墨
询价
更新时间:2026/01/29
双(2,2,6,6-四甲基-4-哌啶基)癸二酸酯氮氧自由基
询价
更新时间:2026/01/29
3-溴-2-甲基苯胺
询价
更新时间:2026/01/29
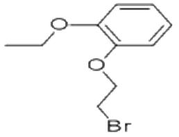
2-(2-乙氧基苯氧基)溴乙烷
询价
更新时间:2026/01/29